Leest u dit met een smartphone?
Met (enkele) smartphones moet u zelf uitmaken welke modus voor u geschikt is
De zogenaamde wiskundige axioma’s zijn de weinige definities die de wiskunde voor haar resultaten nodig heeft. Wiskunde is de wetenschap der grootheden; zij gaat uit van het begrip grootheid. Ze definieert ze gebrekkig en voegt dan de andere elementaire bepalingen van de grootheid, die niet in de definitie voorkomen, extern toe als axioma’s, waar ze dan als onbewezen en natuurlijk ook mathematisch onbewijsbaar verschijnen. De analyse van de grootte zou resulteren in al deze axioma’s als noodzakelijke bepalingen van grootte. Spencer heeft in zoverre gelijk dat de vanzelfsprekendheid van deze axioma’s, die ons zo voor de hand liggend lijken, geërfd zijn. Zij zijn dialectisch bewijsbaar, voor zover zij geen zuivere tautologieën zijn.
*
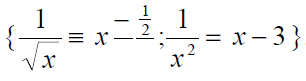
Wiskunde. Niets lijkt zo solide als het verschil tussen de vier soorten rekenkundige bewerkingen, de elementen van alle wiskunde. Toch blijkt de vermenigvuldiging van meet af aan een verkorte optelling, deling een verkorte aftrekking, van een aantal gelijke numerieke grootheden; en in één geval – als de deler een breuk is – wordt de deling zelfs uitgevoerd door vermenigvuldiging met de omgekeerde breuk. In algebraïsche rekenkunde, echter, gaan we veel verder. Elke aftrekking (a – b) kan voorgesteld worden als optelling (-b + a), elke deling a/b als vermenigvuldiging a × 1/b. Rekenen met machtsverheffing gaat men nog veel verder. Alle vaststaande verschillen tussen de soorten berekeningen verdwijnen, alles kan in de omgekeerde vorm worden weergegeven. Een macht als een wortel (x2=√x4;), een wortel als een macht (√x = x1/2). Een eenheid gedeeld door een macht of wortel als een macht van de noemer.
![]()
Vermenigvuldiging of deling van de machten van een grootheid verandert in de optelling of aftrekking van hun exponenten. Elk getal kan worden begrepen en voorgesteld als een macht van elk ander getal (logaritmen, y = ax). En deze verandering van de ene vorm in de andere is geen nutteloze spielerei; het is een van de krachtigste hefbomen van de wiskunde, zonder welke tegenwoordig nauwelijks nog een moeilijke berekening wordt uitgevoerd. Schrap uit de wiskunde alleen de negatieve en fractionele machten, en hoe ver zal men komen?
(-, – = +, ÷ = +, √-1, enz., eerder te ontwikkelen.)
Het keerpunt in de wiskunde was Descartes’ variabele grootheid. Zo is de beweging en daarmee de dialectiek in de wiskunde, en daarmee ook onmiddellijk met noodzaak de differentiaal- en integraalrekening, die ook onmiddellijk begint en door Newton en Leibniz geheel en al wordt voltooid, niet door hen uitgevonden.
*
Kwantiteit en kwaliteit. Getal is de zuiverste kwantitatieve bepaling die we kennen. Maar het zit vol met kwalitatieve verschillen. 1. Hegel, aantal en eenheid, vermenigvuldigen, delen, machtsverheffing, worteltrekken. Dit geeft al, wat bij Hegel niet te zien is, kwalitatieve verschillen: priemgetallen en producten, eenvoudige wortels en machten. 16 is niet alleen de som van 16, het is ook het kwadraat van 4, de vierde macht van 2. Nog meer, de priemgetallen geven nieuwe, vaste eigenschappen aan de getallen die ervan worden afgeleid door vermenigvuldiging met andere getallen: alleen even getallen deelbaar door 2, soortgelijke bepaling voor 4 en 8. Bij 3 gaat het om de cijfersom, evenals bij 9 en 6, waar het combineert met het even getal. Voor 7 is er een speciale regel. Deze vormen de basis voor trucs met getallen die voor de niet-ingewijden onbegrijpelijk lijken. Wat Hegel dus zegt (Kwantiteit, p. 237) over de gedachteloosheid in de rekenkunde, is onjuist. Vergelijk echter eens, kwantiteit.
Zodra de wiskunde spreekt over het oneindig grote en het oneindig kleine, introduceert zij een kwalitatief verschil, dat zich zelfs voordoet als een onoverbrugbare kwalitatieve tegenstelling: hoeveelheden die zo enorm van elkaar verschillen dat elke rationele verhouding, elke vergelijking tussen hen ophoudt, dat ze kwantitatief incommensurabel worden. De gebruikelijke incommensurabiliteit van bv. cirkel en rechte lijn is nu ook een dialectisch kwalitatief verschil; maar hier [d.w.z. in het wiskundig oneindige] is het het verschil in kwantiteit van gelijksoortige grootheden, dat het kwaliteitsverschil doet toenemen tot incommensurabiliteit.
*
Getal. Het afzonderlijke getal krijgt in het getallensysteem al een kwaliteit en is afhankelijk daarvan. 9 is niet alleen 1 dat negen keer is opgeteld, maar de basis voor 90, 99, 900.000 enz. Alle getallenwetten hangen af van en worden bepaald door het aangenomen systeem. In het dyadische en triadische stelsel is 2 × 2 niet = 4, maar = 100 of = 11. In elk stelsel met een oneven grondtal houdt het verschil tussen even en oneven getallen op, bv. in het systeem gebaseerd op 5, 5 = 10 en 10 = 20, 15 = 30. In hetzelfde systeem vallen ook de cijfers 3n van de producten van 3 of 9 (6 = 11, 9 = 14). Het grondtal bepaalt dus niet alleen de kwaliteit van zichzelf, maar ook van alle andere getallen.
Met de machten gaat het nog verder: elk getal moet worden opgevat als een macht van elk ander getal – evenveel logaritmische stelsels als er hele en breukcijfers zijn.
*
Eén. Niets lijkt eenvoudiger dan de kwantitatieve eenheid, en niets is meer divers zodra wij het onderzoeken in verband met de overeenkomstige veelheid en haar verschillende ontstaanswijzen. Eén is allereerst het grondgetal van het gehele positieve en negatieve getallenstelsel, door welks opeenvolgende optelling bij zichzelf alle andere getallen tot stand komen. – Eén is de uitdrukking van alle positieve, negatieve en breukmachten [gebrochnen Potenzen] van één: 12, √1, 1-2 zijn allemaal gelijk aan één. – Eén is de waarde van alle breuken waarvan teller en noemer gelijk zijn. – Het is de uitdrukking van elk getal tot de macht nul verheven en daarom het enige getal waarvan de logaritme in alle stelsels gelijk is, d.w.z. = 0. Eén is dus de limiet die alle mogelijke logaritmische stelsels in twee delen verdeelt: Als het grondtal groter is dan één, zijn de logaritmen van alle getallen boven één positief, van alle getallen onder één negatief; als het kleiner is dan één, gebeurt het omgekeerde. Indien dus elk getal de eenheid in zich bevat, omdat het samengesteld is uit alle opgetelde getallen, dan bevat het ene ook alle andere getallen in zich. Niet alleen volgens de mogelijkheid, in zoverre wij elk getal uit alle enen kunnen construeren, maar volgens de werkelijkheid, in zoverre één een bepaalde macht is van elk ander getal. Maar dezelfde wiskundigen die, zonder verpinken, x0 = 1, of een breuk waarvan noemer en teller gelijk zijn, en die dus ook één voorstelt, in hun berekeningen interpoleren waar het hun uitkomt, die dus wiskundig gebruik maken van de veelheid die in de eenheid besloten ligt, die halen hun neus op en trekken een gezicht wanneer hun in algemene termen gezegd wordt dat eenheid en veelheid onafscheidelijke, elkaar doordringende begrippen zijn, en dat de veelheid niet minder in de eenheid besloten ligt dan de eenheid in de veelheid. Hoezeer dit het geval is, zien we zodra we het gebied van de zuivere getallen verlaten. Reeds bij het meten van lijnen, oppervlakten en inhouden, is het duidelijk dat wij elke hoeveelheid van de overeenkomstige ordening als eenheid kunnen nemen, ook bij het meten van tijd, gewicht, beweging, enz. Voor het meten van cellen zijn millimeters en milligrammen te groot; voor het meten van stellaire afstanden of de lichtsnelheid is de kilometer al hinderlijk klein, evenals de kilogram voor het meten van planetaire of zelfs zonnemassa’s. Hier is heel duidelijk te zien welke diversiteit en veelvoud in het begrip eenheid zit, op het eerste gezicht zo simpel.
*
Nul, is dus niet inhoudsloos, want het is de negatie van elk gegeven kwantum. Integendeel, nul heeft een zeer bepaalde inhoud. Als de grens tussen alle positieve en negatieve grootheden, als het enige werkelijk neutrale getal dat noch + noch – kan zijn, is het niet alleen een zeer bepaald getal, maar ook op zich belangrijker dan alle andere getallen die erdoor worden begrensd. In feite is nul inhoudelijk rijker dan elk ander getal. Rechts van elk ander getal geeft het aan dit laatste, in ons systeem van getallen, de tienvoudige waarde. In plaats van nul zou men hier elk ander teken kunnen gebruiken, maar alleen op voorwaarde dat dit teken op zich nul betekent, = 0. Het ligt dus in de aard van de nul zelf dat het dit gebruik vindt, en dat het alleen zo kan worden gebruikt. Nul vernietigt elk ander getal waarmee het vermenigvuldigd wordt; verenigd als deler of teller met om het even welk ander getal, maakt het dit laatste oneindig groot in het eerste geval en oneindig klein in het tweede; het is het enige getal dat in een oneindige verhouding staat tot elk ander. % kan elk getal tussen -∞ en +∞ uitdrukken, en stelt in elk geval een reële grootheid voor. – De reële inhoud van een vergelijking wordt pas duidelijk wanneer alle leden ervan opzij worden geschoven en de vergelijking aldus wordt herleid tot de waarde nul, zoals reeds gebeurt met kwadratische vergelijkingen en bijna de algemene regel is in de hogere algebra. Een functie F(x, y) = 0 kan dan ook gelijk gesteld worden aan z en deze z, hoewel ze = 0, gedifferentieerd worden als een gewone afhankelijke variabele en zijn partiële differentiaalquotiënt bepaald.
Maar het niets van elk kwantum is zelf nog kwantitatief bepaald, en alleen daarom is het mogelijk om met nul te rekenen. Dezelfde wiskundigen, die op de hierboven beschreven manier ongegeneerd met de nul rekenen, d.w.z. ermee werken als een bepaalde kwantitatieve opvatting, haar in kwantitatieve relaties brengen met andere kwantitatieve begrippen, gooien hun handen in de lucht van afschuw, wanneer zij bij Hegel de veralgemening lezen: het niets van iets, is een bepaald niets.
Maar nu de (analytische) meetkunde. Het nulpunt is hier een bepaald punt, vanwaar op een lijn positief wordt gemeten in de ene richting en negatief in de andere. Hier heeft het nulpunt dus niet alleen een even grote betekenis als elk punt dat met een positieve of negatieve magnitude wordt aangeduid, maar een veel grotere betekenis dan alle andere: het is het punt waarvan ze allemaal afhankelijk zijn, waar ze allemaal aan gerelateerd zijn, en waar ze allemaal door bepaald worden. In veel gevallen kan het zelfs vrij willekeurig worden genomen. Maar als het eenmaal is aangenomen, blijft het het middelpunt van de hele operatie en bepaalt het vaak zelfs de richting van de lijn waarop de andere punten – de eindpunten van de abscissen – moeten worden ingevoegd. Indien men bijvoorbeeld, om tot de vergelijking van de cirkel te komen, een willekeurig punt van de omtrek als nulpunt kiest, dan moet de lijn der abscissen door het middelpunt van de cirkel gaan. Dit alles is evenzeer van toepassing op de mechanica, waar het veronderstelde nulpunt ook het hoofd- en draaipunt is van de hele operatie bij het berekenen van bewegingen. Het nulpunt van de thermometer is de zeer duidelijke ondergrens van het temperatuurgedeelte, dat in een willekeurig aantal graden is verdeeld en zo dient als maatstaf, zowel voor de temperatuurgradaties binnen zichzelf als voor hogere of lagere temperaturen. Het is dus ook hier een zeer wezenlijk punt. En zelfs het absolute nulpunt van de thermometer vertegenwoordigt geenszins een zuivere, abstracte negatie, maar een zeer bepaalde toestand van de materie: de grens waar het laatste spoor van een onafhankelijke beweging van de moleculen verdwijnt en materie alleen nog als massa handelt. Overal waar men het nulpunt tegenkomt, stelt het iets zeer bepaalds voor, en de praktische toepassing ervan in de meetkunde, de mechanica, enz. bewijst dat het – als limiet – belangrijker is dan alle reële grootheden die erdoor worden begrensd.
Nulbevoegdheden. Machten van nul. Hun belang in de logaritmische reeks:
![]()
Alle variabelen gaan ergens door één; dus ook de constante van een variabele macht ax = 1 als x = 0. a0=1 betekent niets anders dan één te begrijpen in zijn verband met de andere leden van de machten van a, alleen daar heeft het enige betekenis en kan het leiden tot resultaten
![]()
anders niet. Hieruit volgt dat de eenheid, hoezeer zij ook met zichzelf identiek schijnt te zijn, een oneindige veelheid in zichzelf omvat, in die zin dat zij de macht van nul kan zijn van elk ander mogelijk getal, en dat deze veelheid niet louter denkbeeldig is, wordt bewezen telkens wanneer één wordt opgevat als een bepaald één, als een van de variabele resultaten van een proces (als een momentane grootheid of vorm van een variabele) in verband met dit proces.
*
√-1. De algebraïsche negatieve grootheden zijn alleen reëel voor zover zij zich verhouden tot de positieve, en alleen binnen de relatie met deze; naast deze verhouding, op zichzelf beschouwd, zijn ze zuiver denkbeeldig. In de trigonometrie en de analytische meetkunde, samen met de daarop gebaseerde takken van hogere wiskunde, drukken zij een bepaalde bewegingsrichting uit die tegengesteld is aan de positieve; maar je kunt de sinussen en tangens van de cirkel zowel vanuit het kwadrant rechtsboven als vanuit het kwadrant rechtsonder berekenen, en dus plus en min direct omkeren. Op dezelfde manier kunnen in de analytische meetkunde abscissen worden berekend vanuit de periferie of vanuit het middelpunt van de cirkel, inderdaad in alle krommen kunnen ze worden berekend vanuit de kromme in de richting die gewoonlijk wordt aangeduid als min [of] in elke gewenste richting en toch een juiste rationele vergelijking van de kromme geven. Hier bestaat plus alleen als het complement van min en omgekeerd. Maar de abstractie van de algebra behandelt hen [de negatieve grootheden] als reëel, onafhankelijk, zelfs buiten de relatie tot een grotere, positieve grootheid.
*
Wiskunde. Voor het gezond verstand lijkt het onzin om een bepaalde grootheid, bijvoorbeeld een binomiaal, op te lossen in een oneindige reeks, d.w.z. in iets onbepaalds. Maar waar zouden we zijn zonder oneindige reeksen en de binomiale stelling?
Asymptoten. Geometrie begint met de ontdekking dat recht en kromming absolute tegenstellingen zijn, dat recht absoluut niet te formuleren is in de kromming, en de kromming niet in de rechte, dat de twee onverenigbaar zijn. En toch is de berekening van de cirkel niet mogelijk zonder de omtrek ervan in rechte lijnen uit te drukken. Maar in het geval van krommen met asymptoten vervaagt de rechte volledig tot kromming, en de kromming tot de rechte; net zo vervaagt het begrip parallellisme: de lijnen zijn niet parallel, ze naderen elkaar steeds, maar vallen nooit samen; de dalende kromme wordt steeds meer recht, zonder ooit helemaal recht te worden, zoals in de analytische meetkunde de rechte lijn wordt beschouwd als de kromme van de eerste graad met oneindig kleine kromming. De -x van de logaritmische kromme mag zo groot worden als hij is, y kan nooit = 0.
*
De rechte en de kromme in de differentiaalrekening, worden in laatste instantie gelijkgesteld: in de differentiaaldriehoek, waarvan de hypotenusa het differentiaal van de kromme vormt (in de raaklijn-methode), kan deze hypotenusa worden beschouwd als
“als een kleine rechte lijn, die tegelijkertijd een element van de kromme en een element van de tangens is” – zie nu de kromme als samengesteld uit een oneindig aantal rechte lijnen, of anders “zie hem als een starre kromme; aangezien de kromming in elk punt M oneindig klein is, is de uiteindelijke verhouding van het element van de kromme tot dat van de tangens duidelijk een verhouding van gelijkheid.” [cursief van Engels]
Hier wordt dus, hoewel de verhouding steeds die van de gelijkheid nadert, maar volgens de aard van de kromme asymptotisch, omdat het contact beperkt is tot een punt dat geen lengte heeft, uiteindelijk toch aangenomen dat gelijkheid van rechte en kromming bereikt is (Bossut, Calcul diff. et intégr., Parijs, An VI, I, p. 149). Bij poolkrommen worden de differentiële denkbeeldige abscissen zelfs beschouwd als evenwijdig aan de echte abscissen, en de bewerkingen daarop gebaseerd, hoewel ze allebei samenkomen op de pool; ja, men concludeert hieruit de gelijkenis van twee driehoeken, waarvan er een een hoek heeft juist op het snijpunt van de twee lijnen, op wiens evenwijdigheid de hele gelijkenis berust!
(Figuur 17).

Wanneer de wiskunde van rechte en gekromde lijnen dus vrij goed is ontwikkeld, wordt een nieuw bijna oneindig veld geopend door de wiskunde die gekromd als recht (de differentiaaldriehoek) en recht als gekromd (kromme van de eerste orde met oneindig kleine kromming) opvat. O metafysica!
*
Trigonometrie. Nadat de synthetische meetkunde de eigenschappen van een driehoek, op zichzelf beschouwd, heeft uitgeklaard en niets nieuws meer te zeggen heeft, opent zich een bredere horizon via een zeer eenvoudige, door en door dialectische procedure. De driehoek wordt niet meer op zichzelf beschouwd, maar in samenhang met een andere figuur, de cirkel. Elke rechthoekige driehoek kan geacht worden tot een cirkel te behoren indien de schuine zijde = r, de zijden van de rechte hoek zijn dan sin en cos indien één zijde van de rechte hoek = r, de andere = tg, de schuine zijde = sec. Hierdoor krijgen zijden en hoeken geheel verschillende, duidelijke verhoudingen tot elkaar, die zonder deze verhouding van de driehoek tot de cirkel onmogelijk te ontdekken en te gebruiken zouden zijn, en ontstaat een geheel nieuwe driehoekstheorie, die de oude ver overtreft, en overal toepasbaar is, omdat elke driehoek kan worden opgelost in 2 rechte hoeken. Deze ontwikkeling van de trigonometrie uit de synthetische meetkunde is een goed voorbeeld van dialectiek, hoe zij de dingen in hun samenhang begrijpt in plaats van in hun isolement.
*
Identiteit en verschil – de dialectische verhouding komt reeds voor in differentiaalrekening waar dx oneindig klein is, maar niettemin efficiënt en alles realiseert.
*
Molecuul en differentiaal. Wiedemann (III, p. 636) stelt eindige en moleculaire afstanden tegenover elkaar.
Op p. 17-18{1}: eenstemmigheid van denken en zijn
Het oneindige in de wiskunde
Het feit dat ons subjectieve denken en de objectieve wereld aan dezelfde wetten onderworpen zijn, en dat daarom beide in hun resultaten elkaar niet kunnen tegenspreken, maar overeen moeten stemmen, beheerst absoluut ons gehele theoretische denken. Het is het onbewuste en onvoorwaardelijke uitgangspunt voor het theoretisch denken. Het materialisme van de 18e eeuw onderzocht deze vooronderstelling, wegens het wezenlijk metafysische karakter ervan, slechts naar de inhoud. Het beperkte zich tot het bewijs dat de inhoud van alle denken en weten uit zintuiglijke ervaring moet voortkomen en stelde opnieuw: nihil est in intellectu, quod non fuerit in sensu. [Er is niets in het begrip dat niet eerst waargenomen is] Alleen de moderne idealistische, maar tegelijk dialectische filosofie en met name Hegel onderzocht het ook in termen van vorm. Ondanks de ontelbare willekeurige constructies en fantasieën waarmee wij hier worden geconfronteerd, ondanks de idealistische omkering van haar resultaat, de eenheid van denken en zijn, valt niet te ontkennen dat deze filosofie de analogie van de processen van het denken met de processen van de natuur en de geschiedenis, en omgekeerd, en de geldigheid van dezelfde wetten voor al deze processen in een veelheid van gevallen en op de meest uiteenlopende gebieden heeft bewezen. Anderzijds heeft de moderne natuurwetenschap de stelling van de proefondervindelijke oorsprong van alle gedachte-inhoud uitgebreid op een wijze die de oude metafysische beperking en formulering ervan tenietdoet. Door de overerving van verworven eigenschappen te erkennen, breidt zij het voorwerp van ervaring uit van het individu tot de soort; het is niet langer noodzakelijk dat het individu alleen ervaring heeft opgedaan; zijn afzonderlijke ervaring kan tot op zekere hoogte worden vervangen door de resultaten van de ervaringen van een aantal van zijn voorvaderen. Als bijvoorbeeld de wiskundige axioma’s ieder kind van acht jaar als vanzelfsprekend voorkomen en geen bewijs door ervaring behoeven, is dit slechts het resultaat van “opgestapelde overerving”. Een Bosjesman of Aboriginal zou het moeilijk met bewijzen bij te brengen zijn.
In het bovenstaande schrift{2} is de dialectiek opgevat als de wetenschap van de meest algemene wetten van alle beweging. Daarin ligt besloten dat haar wetten evenzeer moeten gelden voor de beweging in de natuur en de menselijke geschiedenis als voor de beweging van het denken. Een dergelijke wet kan worden herkend in twee van deze drie sferen, zelfs in alle drie, zonder dat de metafysische sleurmens zich realiseert dat het één en dezelfde wet is die hij heeft herkend.
Laten we een voorbeeld nemen. Van alle theoretische vorderingen wordt er waarschijnlijk geen beschouwd als een zo grote triomf van de menselijke geest als de uitvinding van de infinitesimaalrekening in de laatste helft van de 17e eeuw. Als ergens sprake is van een zuiver en exclusief staaltje van menselijke intelligentie, dan hier wel. Het mysterie dat tot op de dag van vandaag de in de infinitesimaalrekening gebruikte grootheden – de differentialen en infiniteiten van verschillende rechten – omgeeft, is het beste bewijs dat men zich nog steeds verbeeldt dat men hier te maken heeft met zuiver vrije “scheppingen en verbeeldingen”{3} van de menselijke geest, waarvoor de objectieve wereld niets overeenkomstigs biedt. En toch is het tegendeel het geval. Voor al deze denkbeeldige grootheden levert de natuur de voorbeelden.
Onze meetkunde is gebaseerd op ruimtelijke verhoudingen, onze rekenkunde en algebra op getalsgrootheden die overeenkomen met onze aardse verhoudingen, dat wil zeggen, die overeenkomen met de natuurkundige grootheden die de mechanica massa’s noemt – massa’s zoals die op aarde voorkomen en door de mens worden bewogen. In vergelijking met deze massa’s lijkt de massa van de aarde oneindig groot en wordt zij ook door de aardse mechanica als oneindig groot behandeld. De straal van de aarde = ∞, dit is het basisprincipe van alle mechanica in de valwet. Maar niet alleen de aarde, maar het gehele zonnestelsel en de daarin voorkomende afstanden lijken weer oneindig klein, zodra we te maken krijgen met de afstanden in lichtjaren in het sterrenstelsel, zichtbaar voor ons door de telescoop. We hebben hier dus al een oneindigheid, niet alleen van de eerste maar ook van de tweede graad, en we kunnen het aan de verbeelding van onze lezers overlaten om verdere oneindigheden van een hogere graad in de oneindige ruimte te construeren, als ze zich daartoe geneigd voelen.
De aardse massa’s, de lichamen waarmee de mechanica werkt, bestaan echter, volgens de hedendaagse opvatting in de natuur- en scheikunde, uit moleculen, uit de kleinste deeltjes, die niet verder kunnen worden gesplitst zonder de fysische en chemische identiteit van het lichaam in kwestie op te heffen. Volgens de berekeningen van W. Thomson kan de diameter van het kleinste van deze moleculen niet kleiner zijn dan een vijftigmiljoenste millimeter. Maar laten we ook veronderstellen dat de grootste molecule zelf een diameter bereikt van een vijfentwintigste van een miljoenste millimeter; het blijft nog steeds een oneindig kleine afmeting vergeleken met de kleinste massa waarmee mechanica, fysica en zelfs chemie werken. Niettemin bezit zij alle eigenschappen die eigen zijn aan de massa in kwestie; zij kan de massa fysisch en chemisch voorstellen, en vertegenwoordigt haar werkelijk in alle chemische vergelijkingen. Kortom, het heeft dezelfde eigenschappen ten opzichte van de overeenkomstige massa als het wiskundig differentiaal heeft ten opzichte van zijn variabele. Alleen dat wat ons mysterieus en onverklaarbaar lijkt in het differentiaal, in de wiskundige abstractie, wordt hier vanzelfsprekend en, om zo te zeggen, voor de hand liggend.
Met deze differentialen, de moleculen, werkt de natuur nu op precies dezelfde manier en volgens precies dezelfde wetten als de wiskunde met haar abstracte differentialen. Bijvoorbeeld de differentiaal van x3 = 3x2dx, waarbij 3xdx2 en dx3 verwaarloosd worden. Als we dit in meetkundig construeren, hebben we een kubus met zijden van lengte x, waarbij de lengte wordt vergroot met de oneindig kleine grootte dx. Laten we aannemen dat deze kubus bestaat uit een gesublimeerd element, zeg zwavel; drie zijden zijn beschermd, de andere drie zijn vrij. Als we deze zwavelkubus blootstellen aan een atmosfeer van zwavelgas en de temperatuur ervan voldoende verlagen, zal zich zwavelgas afzetten op de drie vrije zijden van de kubus. We blijven binnen de gewone procedure van fysica en chemie door te veronderstellen, om het proces in zijn zuivere vorm voor te stellen, dat er in de eerste plaats een laag van de dikte van een enkele molecule wordt afgezet op elk van deze drie zijden. De lengte x van de zijden van de kubus is toegenomen met de diameter van een molecuul dx. De inhoud van de kubus x3 is toegenomen met het verschil van x3 en x3 + 3x2dx + 3xdx2 + dx3, waarbij we dx3, één molecuul, en 3xdx2, drie rijen eenvoudig lineair gerangschikte moleculen van lengte x + dx, kunnen verwaarlozen, met hetzelfde recht als in de wiskunde. Het resultaat is hetzelfde, de toename van de massa van de kubus is 3x2dx.
Strikt genomen komen in het geval van de zwavelkubus dx3 en 3xdx2 niet voor omdat twee of drie moleculen niet in dezelfde ruimte kunnen zijn en de toename van de massa is dus precies 3x2dx + 3x dx + dx.
Dit wordt verklaard door het feit dat in de wiskunde dx een lineaire grootheid is, maar dergelijke lijnen zonder dikte en breedte komen, zoals bekend, in de natuur niet zelfstandig voor, zodat de wiskundige abstracties alleen in de zuivere wiskunde onvoorwaardelijke geldigheid hebben. En aangezien ook dit 3xdx2 + dx3 verwaarloost, maakt het dus geen verschil.
Hetzelfde bij verdamping. Als in een glas water de bovenste moleculaire laag verdampt, dan is de hoogte van de waterlaag x verminderd met dx, en de voortdurende verdamping van de ene moleculaire laag na de andere is in feite een voortdurende differentiatie. En wanneer de hete damp, door druk en afkoeling, weer wordt gecondenseerd tot water in een vat, en de ene laag moleculen op de andere wordt afgezet (waarbij we de bijkomstige omstandigheden die het proces onzuiver maken buiten beschouwing mogen laten), totdat het vat vol is, dan heeft hier letterlijk een integratie plaatsgevonden, die zich slechts van de mathematische onderscheidt doordat de ene bewust wordt uitgevoerd door het menselijk brein, en de andere onbewust door de natuur.
Maar niet alleen bij de overgang van de vloeibare naar de gasvormige toestand en omgekeerd vinden er processen plaats, die volkomen analoog zijn aan die van de infinitesimaalrekening. Als de beweging van de massa – door een impact – als zodanig teniet is gedaan en is omgezet in warmte, moleculaire beweging, wat is er dan anders gebeurd dan dat de beweging van de massa is gedifferentieerd? En wanneer de moleculaire bewegingen van de stoom, in de cilinder van de stoommachine, bij elkaar opgeteld, de zuiger een bepaalde mate optilt, en de beweging van de massa transformeert, zijn zij dan niet geïntegreerd? De chemie ontbindt de moleculen in atomen, in grootten van kleinere massa en ruimtelijke omvang, maar grootten van dezelfde orde, zodat beide in bepaalde, eindige verhoudingen tot elkaar staan. Alle chemische vergelijkingen die de moleculaire samenstelling van lichamen uitdrukken, zijn dus vormelijk differentiaalvergelijkingen. Maar in werkelijkheid zijn zij reeds geïntegreerd door de atoomgewichten die erin voorkomen. De chemie rekent met differentialen waarvan de onderlinge grootteverhouding bekend is.
Welnu, atomen worden geenszins beschouwd als eenvoudige of zelfs maar als de kleinste bekende deeltjes van materie. Afgezien van de chemie zelf, die meer en meer geneigd is tot de opvatting dat atomen zijn samengesteld, beweert de meerderheid van de natuurkundigen dat de kosmische ether, die licht- en warmtestraling overbrengt, ook uit discrete deeltjes bestaat, die echter zo klein zijn dat zij zich tot de chemische atomen en fysische moleculen verhouden zoals deze zich tot de mechanische massa’s verhouden, d.w.z. als d2x tot dx. Hier hebben we dus, in de nu gangbare opvatting van de constitutie van de materie, ook het differentiaal van de tweede graad, en er is absoluut geen reden waarom iemand aan wie dit genoegen verschaft zich niet zou kunnen voorstellen dat analogieën van d3x, d4x, enz. ook nog in de natuur moeten bestaan.
Wat men ook moge denken over de samenstelling van de materie, het is zeker dat zij verdeeld is in een aantal grote, welomschreven groepen van relatieve massa, zodat de leden van elke afzonderlijke groep in welomschreven, eindige massaverhoudingen tot elkaar staan, maar ten opzichte van die van de volgende groepen staan zij in de verhouding van oneindige grootte of kleinheid in wiskundige zin. Het zichtbare sterrensysteem, het zonnesysteem, de aardse massa’s, de moleculen en atomen, tenslotte de etherdeeltjes, vormen elk zo’n groep. Het wijzigt er niets aan, dat wij tussenschakels vinden tussen elke afzonderlijke groep. Zo bevinden zich tussen de massa’s van het zonnestelsel en de aardse massa’s de asteroïden – waarvan sommige geen grotere diameter hebben dan bv. het vorstendom Reuss, jongere linie – de meteoren, enz. Deze tussenschakels bewijzen alleen maar dat er geen sprong in de natuur bestaat, juist omdat de natuur uit niets dan sprongen bestaat.
Zodra de wiskunde met echte grootheden rekent, past zij deze manier van kijken zonder meer toe. De aardse mechanica beschouwt de massa van de aarde reeds als oneindig groot, zoals de astronomie de aardse massa’s en hun overeenkomstige meteoren als oneindig klein beschouwt, en evenzo verdwijnen de afstanden en massa’s van de planeten van het zonnestelsel zodra zij de constitutie van ons sterrenstelsel voorbij de dichtstbijzijnde vaste sterren onderzoekt. Maar zodra de wiskundigen zich terugtrekken in hun onneembare vesting van abstractie, de zogenaamde zuivere wiskunde, worden al deze analogieën vergeten, wordt de oneindigheid iets totaal mysterieus, en de manier waarop er in de analyse mee wordt gewerkt lijkt iets volstrekt onbegrijpelijk, in tegenspraak met alle ervaring en alle rede. De dwaasheden en absurditeiten waarmee de wiskundigen hun methode, die vreemd genoeg altijd tot juiste resultaten leidt, meer hebben verontschuldigd dan verklaard, overtreffen de ergste schijnbare en werkelijke fantasieën van bijvoorbeeld de natuurfilosofie van Hegel, waarvoor wiskundigen en natuurwetenschappers hun afschuw niet genoeg kunnen uiten. Wat zij Hegel verwijten, dat hij abstracties tot het uiterste doorvoert, doen zij zelf op een veel grotere schaal. Zij vergeten dat de zogenaamde zuivere wiskunde abstracties hanteert, dat al haar grootheden strikt genomen denkbeeldige grootheden zijn en dat alle abstracties, wanneer zij tot het uiterste worden doorgevoerd, in onzin of in hun tegendeel veranderen. Het wiskundig oneindige is ontleend aan de werkelijkheid, ook al is het onbewust, en kan daarom alleen verklaard worden uit de werkelijkheid en niet uit zichzelf, uit de wiskundige abstractie. En als wij de werkelijkheid hierop onderzoeken, vinden wij, zoals wij hebben gezien, de werkelijke verhoudingen waaraan de wiskundige oneindigheidsverhouding is ontleend, en zelfs de natuurlijke analogieën van de wiskundige manier om deze verhouding te laten werken. En zo is de zaak verklaard.
*
(Slechte weergave bij Haeckel van de identiteit van denken en zijn. Maar ook de tegenstelling van ononderbroken en discrete materie; zie Hegel).
*
De differentiaalrekening maakt het voor de natuurwetenschappen mogelijk om processen wiskundig weer te geven, niet alleen toestanden: beweging.
*
Toepassing van de wiskunde: in de mechanica van vaste lichamen is het absoluut, in die van gassen bij benadering, in die van vloeistoffen al moeilijker; in de natuurkunde meer tentatief en relatief; in de scheikunde, eenvoudige vergelijkingen van de eerste orde en van de eenvoudigste aard; in de biologie = 0
{1} Zie Anti-Dühring, p. 32/33.
{2} Zie Anti-Dühring, p. 131/132.
{3} Zie Anti-Dühring, p. 35.