| 中文马克思主义文库 -> 参考图书·左翼文化 -> 《马克思主义经济学史(1883-1929)》 第三章 价值理论的第一次争论:1895-1914年 1.《资本论》第三卷正如我们在前面章节看到的,在《资本论》第一卷中,马克思简要提及了自由竞争的存在给其价值理论带来的难题。在《资本论》第三卷第二篇,他对这个难题作了详细阐释,并提出了自己的解决方法。劳动力市场的竞争造成所有产业利润率的平均化,因为在均衡状态下,无论是工作日的长度还是实际工资的大小都趋于一致,因此,资本家能够从每个雇佣工人那里榨取的剩余价值量也将趋于相等。如果不同部门的资本有机构成不同——没有什么经济机制确保它必然相同——它们就将有不同的利润率。产业i的利润率被定义为剩余价值和使用的总资本(不变资本加可变资本)之间的比率:ri=si(ci+vi),把这个分数的分子和分母分别除以vi,得到ri=(si/vi)/(ci/vi+vi/vi)=e(ki+1),这里e(=si/vi=sj/vj)是一般剥削率,ki(=ci/vi)是资本有机构成。从而,资本有机构成低的产业,会有较高的利润率。但是,这与存在竞争的商品市场上的情况不一致,在竞争性商品市场中,资本可以从一个产业向另一个产业自由流动,所有生产部门的利润率将趋于平均化。因此,在价值规律和自由市场的运行之间存在明显的矛盾。 在《资本论》第三卷中,马克思表明,要解决这种矛盾,需要对劳动价值与长期均衡价格之间的有系统的偏离作出清晰的认识。马克思把长期均衡价格称作生产价格,他认为生产价格必须处于这样一种水平,即它必须能够包含资本家的成本和用当前的平均利润率计算的资本家所用资本获得的利润。对个别资本家来说,由于剩余价值完全取决于劳动中活劳动的数量,利润取决于使用的总资本(死劳动加活劳动),因此剩余价值和利润也将发生背离。 就利润来说,不同的资本家在这里彼此只是作为一个股份公司的股东发生关系,在这个公司中,按每100资本均衡地分配一份利润。因此,对不同的资本家来说,他们的各份利润之所以有差别,只是因为每个人投在总企业中的资本量不等,因为每个人在总企业中的入股比例不等,因为每个人持有的股票数不等。
因此,价值向价格的转化同时也是剩余价值向利润的转化。![]() 马克思使用表3.1中的数字例子,清楚地说明了转形问题包含的内容。五个部门分别投资100单位资本,每个部门有不同的资本有机构成和相同的剥削率(e=100%)。无论是生产出的剩余价值总量还是利润率,和资本有机构成之间都是一种反向关系。部门Ⅲ生产的剩余价值最大(有机构成为k=1.50),部门Ⅴ生产的剩余价值最小(有机构成为k=19.00)。相应地,s和(c+v)之间的比率也因此而不同,分别为40%和5%。在五个部门中,不变资本的耐久性是不同的:在部门Ⅲ使用的60单位不变资本中,在一年期生产过程中耗费了51单位,而投资于部门Ⅴ的95单位不变资本中,只有10单位的不变资本转移到年产品中(这或者是因为部门Ⅴ与部门Ⅲ相比,使用了更多的机器和相对较少的原材料,或者是因为部门Ⅴ的机器有更长的使用寿命,或者两者兼而有之)。每个部门的总生产成本,马克思称之为成本价格,由耗费的不变资本和总的可变资本的总和决定,在这里,马克思假定可变资本每年周转一次。利润获得的方式是,马克思对整个经济中使用的总资本作了加总,390c+110v=500;总剩余价值为110,用总剩余价值除以总资本,得到平均利润率:r=110/500=22%。每个部门的资本家获得的是按总资本计算的22%的利润,在这个例子中,即每个部门的利润为22。把这个利润和每个生产部门的成本价格相加,就得到生产价格。三个资本有机构成超过社会平均水平的部门(Ⅰ,Ⅳ,Ⅴ),商品的价格超过了价值,有机构成较小的部门Ⅱ和Ⅲ,价格低于劳动价值。不同部门的利润和剩余价值以一种完全相似的方式发生了偏离。 然而,总的来看,价格和价值是相等的(等于442),同样总利润也等于总剩余价值(等于110)。这两个“不变条件”的重要性在于,它们使得平均利润率可以被定义为两个价值量之间的比率(总剩余价值除以使用的总资本)。马克思推论,一般利润率必须“从商品的价值引申出来,没有这种引申,。马克思认为一般利润率(从而商品的生产价格)就是一个没有意义、没有内容的概念”转形过程存在一个历史的维度。在前资本主义社会的商品生产中,生产者拥有自己的生产资料并相互交换他们的商品,劳动价值成为占统治地位的交换条件。从而“商品按照它们的价值或接近于它们的价值进行的交换,比那种按照它们的生产价格进行的交换,所要求的发展阶段要低得多……把商品价值看作不仅在理论上,而且在历史上先于生产价格,是完全恰当的”马克思设想,利润率通过资本家之间的竞争而均等化,竞争首先在部门内部展开,接着出现在部门之间,一般利润率只有到资本主义较晚的历史阶段才出现。 马克思对这个观点没有作进一步的论述,我们随后将会明白,他不这样做是明智的。除此之外,马克思留下了另一个没有解决的难题: 我们原先假定,一个商品的成本价格,等于该商品生产中所消费的各种商品的价值。但一个商品的生产价格,对它的买者来说,就是成本价格,因而可以作为成本价格加入另一个商品的价格形成。因为生产价格可以偏离商品的价值,所以,一个商品的包含另一个商品的这个生产价格在内的成本价格,也可以高于或低于它的总价值中由加到它里面的生产资料的价值构成的部分。必须记住成本价格这个修正了的意义,因此,必须记住,如果在一个特殊生产部门把商品的成本价格看作和该商品生产中所消费的生产资料的价值相等,那就总可能有误差。对我们现在的研究来说,这一点没有进一步考察的必要。95
比如,在表3.1中,五种商品中每一种商品的成本价格,都是按照用来生产这种商品的商品(不变和可变资本)的价值总和来计算的。但是这些商品是按不同于它们的劳动价值(特殊情况除外)的生产价格被出售的。然而,马克思的“成本价格”完全不是价格,接下来的生产价格的计算也就不正确了。正如上述引文指出的那样,马克思发现了这个困难,但却没有提供任何解决它的方法。2.对《资本论》第三卷的早期反应马克思对转形问题的分析存在两个重大的难题。假如价值规律在任何时候都可以直接应用,而在某些情况下却不能发挥作用,这对价值规律的科学地位来说意味着什么?对于马克思在自己的解决方法中已经意识到、但未能加以纠正的技术性缺陷,能够做些什么呢?恩格斯似乎没有意识到第二个问题的重要性(参见以上第二章)。他被第一个问题深深地困扰着。他在生命的最后几个月里,仍然就价值向价格转形的历史问题,同维尔纳·桑巴特和康拉德·施米特保持着通信,并写下了一篇回复马克思批判者的长文(后来以《资本论》第三卷第二版的增补发表)。事实上,这个增补成为恩格斯最后一篇重要的、专门研究价值理论的著述,这个增补也成为恩格斯对马克思主义理论最有原创性、也最具争议的贡献之一。恩格斯对价值理论的关注表明,价值理论在所有流派的经济学中都处于十分重要的位置,对马克思主义政治经济学来讲尤其如此,价值理论在马克思主义经济学对抗新古典学派时发挥了核心作用。 维尔纳·桑巴特在对《资本论》第三卷的评论中,清楚地说明了价值向价格转形的历史问题。桑巴特写道,马克思事实上是否打算像坚持价值理论在分析方面具有重要的意义那样,坚持价值理论的形成存在一个具体的历史过程,在《资本论》第三卷中并没有清晰地展现出来。如果马克思的确有这种打算,那么价值理论就包含了逻辑和经验两方面的错误。桑巴特认为,价值是一个纯粹的理论概念,它不必也不可能对应着任何可观察的历史时期,任何试图以这种方式应用价值理论的尝试,都会发现它和历史事实之间的矛盾。早期的产业资本家是那些受到更高利润率吸引,并把他们商业资本的一部分投资于制造业的商人。如果在资本主义发展的早期阶段,商品是按照它们的劳动价值出售的,那么资本有机构成最低的产业将获得最高的利润率。但是,桑巴特指出,事实恰好相反,资本主义生产关系首先出现在与活劳动使用相比,使用死劳动的比例最高的产业(比如采矿业)。他认为,当代资本主义经济中利润率和资本有机构成之间是一种反向变动关系的观点,同样是错误的。事实上与此相反,高利润率存在于诸如化工业、酿造业和采矿业等资本有机构成相对较高的产业。资本主义产业利润率是由竞争的程度,而不是由不变资本和可变资本的比率决定的。因此,任何试图从价值向价格转形的角度出发,构筑一个有关价格形成的历史理论,都将是完全错误的,转形问题是智力活动的结晶,而不是现实生活中发生的事情。桑巴特指出,除非恩格斯使他相信相反的东西,否则他将认为马克思持有和自己类似的观点。桑巴特意思是,如果马克思能够活着自己准备出版《资本论》第三卷,就有可能消除这些不确定性。 在对《资本论》第三卷进行评论的文章中,勒克西斯对马克思作了较多的批评,认为马克思对一般利润率形成的历史描述 完全站不住脚。利润率的相等(除了偶然的例外)是资本主义生产的本质。从来不存一种社会条件,这种生产条件使得资本主义生产方式同由资本有机构成不同造成的利润率不等同时并存。利润率的相等等同于资本主义的生产方式并同它们不可分割地联系在一起。这很像在胚胎中,血液循环的发展等同于胚胎的形状与形式的发展。
从而,马克思“想象出来的不真实的价值概念”,没有给实际经济经验的知识增添任何新的内容,尽管它同经验是相一致的。勒克西斯的评论,用英文发表在《经济学季刊》上,很可能没有引起德国学者的注意。不过,康拉德·施米特肯定是了解桑巴特的批评的。施米特自己对《资本论》第三卷所做的评论,充满着极度的热情,但是在与恩格斯的私人通信中,他却表现出极大的怀疑。他担心马克思并没有强调总劳动价值与总生产价格相等的必要性。考虑到这种情况,他告诉恩格斯,“价值规律(如果人们把它当作调节交换的规律而不只是价值的定义)在我看来似乎只是一种虚构,尽管它本身自然不会是错误的。恰恰相反,它是一种必要的虚构,也就是说,它是我们为了得到除此就无法获得结论而必须作出的一种假设”。就像恩格斯自己在《反杜林论》中表明的那样,类似的必要的虚构在数学中经常出现。如果没有总价值等于总价格的虚构,将无法得出一般利润率是由总剩余价值和总预付资本之间的比率决定的这一基本规律。 恩格斯在收到桑巴特随信附上的关于《资本论》第三卷评论的概要大约两周后,收到了施米特的信。在1895年3月的接连两天中,恩格斯对两个人作了回复。恩格斯指出,桑巴特认为个别资本家完全没有意识到转形过程的存在是正确的。利润率均等化是如何准确地出现在现实中是另外的问题,(恩格斯承认)这是马克思没有回答的一个问题。它给桑巴特提出了一个非常有价值的研究项目: 在交换之初,当产品逐渐转化为商品的时候,交换大致是按照它们的价值进行的……因此,那时价值曾经有直接的、现实的存在。我们知道,在交换中,价值的这种直接实现停止了,现在不再有这种情况了。我认为,对您说来,不用费什么事就能看出(起码是大致看出)那些从这种直接的、现实的价值到资本主义生产形式下的价值的中间环节……。对这个过程做出真正历史的解释,当然要求认真地进行研究,而为此花费的全部心血将换来丰硕的成果;这样的解释将是对《资本论》的十分宝贵的补充。
当然,最后恩格斯自己写下了他提到的“补充”。对康拉德·施米特,恩格斯不再像对桑巴特那样世故。恩格斯认为,施米特受到那种存在缺陷的哲学训练的误导,尤其是对康德的研究使他受到“几乎是无休止、无结果的对枝节问题的思辨”的误导。恩格斯写到,所有自然科学概念都是一种对现实的接近,历史科学也是如此。封建主义是否曾经和它的概念准确地相符合呢?如果不符合,那么它就是一种虚构吗?一般利润率的形成预先假定了所有前资本主义经济关系的消失。这种情形在世界上任何地方都还不曾完成,甚至英国也是如此,“而且永远也不会有,我们决不会让它发展到这个地步。”接着,恩格斯论述到,总剩余价值和总利润将永远不会完全的相等。但这并不意味着价值规律是一种虚构: 您对价值规律的责难,从现实的观点来看,涉及一切概念。……由于概念有概念的基本特性,就是说它不是直接地、明显地符合于使它得以抽象出来的现实,因此,毕竟不能把它和虚构相提并论,除非您因为现实同一切思维成果的符合仅仅是非常间接的,而且也只是渐近线似地接近,就说这些思维成果都是虚构。
所有这一切,都可以视为是友好的批评。恩格斯在信的最后,请求施米特安排一下把为《资本论》第三卷所写的评论翻译成意大利文的工作,以便于为同阿吉尔·洛里亚进行论战提供素材,洛里亚对马克思进行了全面的批评。1895年春,恩格斯完成了名为“价值规律和利润率”的《资本论》第三卷的增补,在对洛里亚进行回击后,恩格斯总结了桑巴特和施米特对价值概念逻辑地位的分析。无论是桑巴特还是施米特,“都没有充分注意到:这里所涉及的,不仅是纯粹的逻辑过程,而且是历史过程和对这个过程加以说明的思想反映,是对这个过程的内部联系的逻辑研究”。不可否认,马克思自己对这个问题的分析只是提供了一个粗略的大纲,毫无疑问(恩格斯暗示),一旦有机会马克思将对此进行深入的扩充。恩格斯在“增补”的其余部分中,对填补这个空白进行了大胆的、但最终被证明是难以令人信服的尝试。他论证说,前资本主义的生产者从交换中获得的相对较少,他们只购买或交换一些手工产品。 中世纪的农民相当准确地知道,要制造他换来的物品,需要多少劳动时间。村里的铁匠和车匠就在他眼前干活;……花在这些产品上的劳动时间不仅对于互相交换的产品量的数量规定来说是唯一合适的尺度;在这里,也根本不可能有别的尺度。……当时的人——不管是牲畜饲养者还是他们的买主——肯定都已相当精明,他们不会在交换中得不到等价物而把所耗费的劳动时间白白送给别人。 因此,劳动价值“对于整个简单商品生产时期……在有文字记载的历史之前”一直起作用,直到19世纪初(至少在德国是如此)。并且“价值规律已经在长达5000年至7000年的历史时期内起支配作用”。 随着商业资本的出现,所有的一切都改变了。“商人对于从前一切停滞不变、可以说由于世袭而停滞不变的社会来说,是一个革命的要素”。商人最初主要是通过海外贸易获得利润,商业资本家最终以包买商的角色进入到生产中,如在外包体系下的成衣制造,并且获得超过和高于他们商业利润的剩余价值。商人之间的竞争使不同产业的利润率平均化。后来,随着工厂生产的出现,不同部门的利润率也被平均化了。这是通过“把一向阻碍资本从一个部门转移到另一个部门的绝大部分障碍清除掉。这样,对整个交换来说,价值转化为生产价格的过程就大致完成了”的时候实现的。进一步推动这个过程的事实是,“占有超额剩余价值的各生产部门,也就是说,可变资本较多而不变资本较少,因而资本构成较低的各生产部门,按照它们的性质来说,从属于资本主义的经营恰恰是最晚的,而且是最不充分的;首先是农业”。 这是一个企图从劳动价值论的视角改写几千年经济史的雄心勃勃的尝试,这种尝试的失败并不奇怪。现代批评者指出了恩格斯分析中存在的一些问题,在与前资本主义生产方式相联系的“价值时代”问题上尤为严重。现代批评者认为,在前资本主义社会,商品生产从来就没有充分发展到按照商品的劳动价值比率相交换的程度。重要的领域完全处于商品生产之外;很少有哪个交易商专门把整个经济活动的时间用于商品的生产;劳动力的流动遇到的强大的体制和文化障碍,阻止了单位资本收入的均等化;封建主义的剥削关系和商人资本从来就没有完全消失。因此,除了可能在北美和澳大利亚的殖民地存在过一段短暂的时期外,简单商品生产几乎从来就没有存在过。 恩格斯对劳动价值体制向存在平均利润率体制转形的分析也存在问题,在前一种体制中,商品按劳动价值出售,在后一种体制中,商品按生产价格出售。恩格斯认为,无论他们所从事的贸易具有什么样的特殊性质,激烈的竞争将迫使商业资本的利润率趋于平均化。20要是存在一个真正的转形的历史过程的话,不等的利润率必然是后来才出现在资本主义产业的不同部门中的。那么,竞争为什么在商人进入产业生产之前比进入之后更剧烈,就无法作出解释了。 3.庞巴维克和希法亭第一次(也是很长时间内唯一的一次)认真对待上述问题的尝试,是差不多十年后由鲁道夫·希法亭作出的。这种尝试,出现在希法亭对奥地利理论家欧根·冯·庞巴维克的回复中,庞巴维克在1896年出版的著作中,对劳动价值论进行的新古典主义的攻击产生了较大的影响。在国际上,无论是与门格尔还是与维塞尔相比,庞巴维克都更为知名,事实上,到世纪之交,除了阿尔弗雷德·马歇尔,庞巴维克比任何他同时代的人都更加知名。庞巴维克是主观价值论的重要倡导者,但他充满原创性的独特的利息理论更广为人知,庞巴维克用这一理论来取代马克思对资本主义利润的解释。庞巴维克认为,资本的使用扩展了生产的时间结构,使得使用更加“迂回”的生产技术成为可能。由此导致的投入的使用和最终产出的出现之间的时间间隔的增加,既允许(通过提高劳动生产率)也要求利息的支付(资本家对当前消费的偏好超过对未来消费的偏好,在不存在回报的情况下,这会阻止储蓄的发生)。 在任何意义上,庞巴维克都不是一位天生的资本主义辩护者,但他的确在奥匈帝国的学术和官方体制中,享有受人尊敬的地位。他有关“迂回”生产的观点影响了杜冈-巴拉诺夫斯基和布哈林(参见以下第十章和第十五章)。毫无疑问,他对马克思主义的兴趣,因为与奥地利社会民主党日渐增加的影响作斗争的需要而得到进一步加强。早在1884年,他就对《资本论》第一卷进行了猛烈的攻击,这是所有对马克思的价值分析进行的正统批判中的第一次,也仍然是最有说服力的一次。他认为,无论是在演绎方法上,还是在经验证据方面,劳动价值论都是难以成立的。正如马克思主张的那样,两种商品能够相互交换,它们之中必然包含了一些共同属性。但是在考察商品交换条件时,马克思在抽象掉商品的使用价值后,错误地否定了效用也可以成为商品的共同属性。这是一个“最粗糙的逻辑错误”,它混淆了从一般属性进行抽象和从这种一般属性的特殊形态进行抽象。即使忽略掉使用价值,商品仍然存在许多其它与交换相联系的共同属性,比如商品的稀缺性、它们都是供求的对象,都被私人占有,也都是自然的产物等等。 在庞巴维克看来,劳动价值论也无法被经验所证明。它不适用于那些不能自由地再生产出来的商品(包括土地),也不适用于那些由熟练劳动生产出来的商品,《资本论》对熟练劳动的分析是极其不充分的。工资非常低的工人生产的商品有着非常低的价值。此外,劳动价值论只适用于作为(如果成立的话)价格长期波动的中心。在短期内,供求占据支配地位。最后,在1884年的著作中,庞巴维克暗示了后来广为人知的转形问题——包含同样数量“社会平均劳动”的两种商品,会因为用来生产它们的资本的耐久性的不同而有不同的价格。因此,价值理论“对于很大一部分商品是完全不,对于其余的商品总是不、甚至是绝对不”适用的。劳动价值法则与一般价格法则的关系,就同“刮西风便下雨”的法则与“下雨”的一般理论的关系一样。24庞巴维克清楚地表明马克思的分析同洛贝尔图斯的分析一样,存在的主要缺陷就是“与事实相矛盾”,这种矛盾源自把“平均利润率规律”和可变资本是剩余价值的唯一源泉连接在一起。马克思同洛贝尔图斯的不同之处在于,他承认了这个矛盾。“但是他犯下的仍然是这个错误,而不是别的什么错误”。25 十二年后,庞巴维克看到了《资本论》第三卷的解决方法,但他认为这种解决方法是徒劳无益的。“我感到困惑,在这里,我看到的不是对矛盾的解释和调和,而是赤裸裸地暴露了矛盾本身,马克思《资本论》第三卷同第一卷是相矛盾的”。26马克思提出的为劳动价值论进行辩护的四个论点,没有一个是令人满意的。第一个论点(总价格等于总价值)与主题毫不相干,因为价值理论涉及的是相对价格而不是绝对价格的决定问题。第二个论点认为价值规律支配价格(而不是价格水平)的运动,也是错误的。马克思证明的只是劳动的量的变化是价格运动的一个原由,而不是物化劳动是价格运动的唯一决定因素。庞巴维克没有注意到另一点,即由于一般利润率被认为是劳动价值的比率,因此生产价格本身是由价值决定的。一旦在物化劳动量保持不变的情况下,工资的变化改变了均衡价格,马克思的第四个论点就崩溃了。庞巴维克把第四点当成天大的难事:对马克思来说,实际工资等于工人消费的工资商品中由物化劳动量决定的劳动力的价值。为了证明他对这一点的批判,庞巴维克需要对马克思工资理论作出正面攻击,但是他并没有作这样的尝试。 庞巴维克对马克思第三个论点——和价值转化为生产价格的历史过程有关——的驳斥更有说服力。他认为,马克思在这一点上有点想当然,马克思说明了在应用劳动价值论时交换是如何进行的,但却没有解释为什么会如此。事实上,庞巴维克坚持认为,没有什么理由能够说明它应当如此。从本质上看,“对生产者来说,什么时候获得他们活动的回报,是完全无关紧要的”说法,是令人难以置信的。恰恰相反,工作的开始和最终产品的完成之间经历的时间的长短,是价格决定的一个重要因素,即使是在前资本主义社会也是如此。马克思的观点被历史经验所否定,历史经验表明农民和工匠的收入,实际上受到他们使用的资本数量的影响。庞巴维克引用桑巴特观点,说明资本主义生产首先出现在有较高(而不是较低)资本有机构成、相对有着较低(而不是较高)利润率的产业部门。没有任何证据表明,资本正在从这些产业流出,以寻求更高的利润。这些部门的增长速度实际上要高于平均水平。 桑巴特通过把价值描述为一个逻辑范畴而不是经验范畴为劳动价值论辩护。庞巴维克认为这不会令马克思感到满意,因为对马克思来说,价值的确是“一种真实世界的存在,而不只是思想的构建”。然而,结论必然就是,劳动价值论从来就没有被应用过,即使是在原始社会也是如此。这就意味着,马克思主义整个体系,与在它之前的黑格尔体系一样,是“纸牌堆成的房子”。 1904年,庞巴维克的观点公开出版8年之后,鲁道夫·希法亭对庞巴维克的批判作了唯一一次系统的、马克思主义的答复。希法亭的反批判由两部分构成,一部分是方法论的,一部分是历史的。但是,在这两部分中,没有任何一部分涉及庞巴维克提出来用以反对劳动价值论的具体详细的批评。这如同后来发生在许多马克思主义政治经济学领域的争论一样,参与争论的双方都未能深入地了解对方的论点,而且缺乏真正的对话。在更为一般性的哲学层面上,希法亭指责庞巴维克总是把自然现象和社会现象混为一谈。 每一种从使用价值出发的价值理论,也就是说从事物的自然属性出发的价值理论……是从物与人的个别关系而不是从人们之间相互的社会关系出发……这种视角是非历史的和非社会的。它的范畴是自然的和永恒的。
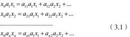
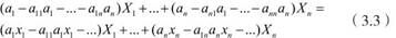
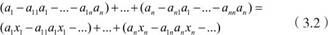
劳动价值论不只是,甚至不主要是对价格决定的分析。“正是因为劳动是把分裂为各个原子的社会联结起来的社会纽带,而不是因为劳动是技术上最有意义的东西,劳动才成为具有现实意义的价值的原则,价值规律才具有现实性”。马克思的价值论和主观价值论之间的根本区别,远不像庞巴维克认为的那样,只是两种方法(可以想象两种方法之间存在互补关系)之间的区别。这种区别更像是“互相竞争和互相排斥的观察整个社会生活的视角”之间的区别。资产阶级经济学的个人主义带来的完全是政治经济学的自杀。31 5510年后,布哈林雄辩地重新表述了上述对新古典理论的方法论的批判,并试图表明新古典主义的视角反映了新的“有闲阶级”的观点,这一新阶级是随着金融资本的兴起而产生的(参见以下第十三章)。鲁道夫·希法亭小传鲁道夫·希法亭,1877年出生于维也纳一个中产阶级犹太家庭。在维也纳大学学习医学,1901年获得博士学位后有过短暂的执业生涯。在维也纳大学时,他还学习经济学,并在奥地利和德国的社会主义者报刊上发表了许多论述经济问题的文章。1906-1907年被警察驱逐前,希法亭在柏林为德国社会民主党工作。虽然反对第一次世界大战,但他并不抵制战争动员,1915- 1918年,作为医生在意大利前线从事服务工作。战后移居德国,在1922年德国社会民主党(SPD)同德国独立社会民主党(USPD)合并后,再次加入德国社会民主党,在此之前,作为记者为德国独立社会民主党(USPD)工作。1924-1933年,希法亭成为帝国议会的议员, 1923年和1928- 1929年,他分别在斯特莱斯曼内阁和穆勒内阁中任财政部长。1933年后,他流亡于丹麦、瑞士,最后到法国,可能在1941在法国被盖世太保杀害。 庞巴维克对希法亭的答复完全无动于衷。奇怪的是,希法亭和庞巴维克都没有讨论马克思转形问题解决方法中存在的技术性难题,合理的推断只能是他们没有注意到这些问题。希法亭偶尔提及这些问题,表明问题本身并没有激起他足够的信心,使他觉得自己有能力去解决它们。希法亭强调总价值和总价格相等的重要性,这种相等表明,“所有的利润都源自生产,而不是来自后来资本家对最终产品产生的任何影响”,希法亭接着给出了一个大胆的但不合逻辑的断言:“既然总价格等于总价值,那么总利润除了是总剩余价值,不可能是其他什么东西”。事实上,马克思已经指出了这一点,但是它还没有得到证明。接下来,希法亭从无根据的断言转向了完全的错误,他宣称,马克思主要关注的是工资和利润之间的比率,“因此[原文如此]说在关注个别商品时马克思放弃了价值规律,而只在考察这些商品的总体时才坚持价值规律的有效性,是完全错误的”。希法亭在这里提示的似乎是剥削率与利润和工资之间比率的相等。这是一种妄想。就像在下一节将要看到的那样,在一般情况下,马克思的两个“不变条件”只有一个能成立。如希法亭提示的第三个条件的成立,只能以牺牲上述两个“不变条件”中的一个(或者更有可能同时牺牲两个)为代价。 争论双方没有任何一方在交流中变得更为完善。庞巴维克对《资本论》第三卷的批评明显不如他对第一卷的批评。尤其是他未能正视马克思劳动价值逻辑优先性的主张,正视这个主张,就要对马克思一般利润率能够用(且只能用)价值比率加以确定的观点进行反驳。这反过来对庞巴维克也提出了新要求,他需要对马克思的技术分析,作出比他原本认为的更多的研究性评价。正如我们已看到的,在这一方面,希法亭的答复表现的也很软弱。如果希法亭能够用一个对价值向生产价格的历史转形连贯一致的描述,对马克思的历史和社会方法进行说明,那么他对这种方法进行重新表述的意义将会大大加强。事实上,他并没有为恩格斯对这个问题作出的不那么令人信服的分析增添什么新的内容。因此,令人满意的价值向价格转化的模型仍然没有形成。 4.米尔普福特和德米特里耶夫《资本论》第三卷出版后不久,《国民经济年鉴》上发表了一篇由东普鲁士哥尼斯堡的沃尔夫冈·米尔普福特撰写的短文,这篇短文借鉴了他自己两年前提交的学位论文《资本主义社会的价格和收入》。米尔普福特的社会主义是俾斯麦式的而不是马克思主义的,他的论文受到了德国社会民主党理论杂志《新时代》的严厉批评,他的文章无论在当时,还是在后来,似乎都完全被忽视了。然而,米尔普福特的论文和文章,包含两个存在细微差别的转形问题的代数表达,并且非常清晰地指向了20世纪50年代和60年代有关转形问题的数学文献。马克思没有把投入的不变资本和可变资本转化为生产价格,米尔普福特以此为出发点,认为这个问题可以运用下述方式解决。用a1表示商品1的劳动价值,x1 a1表示它的生产价格,x1是价格与价值的比率,这意味着价格是由劳动价值度量的。p表示一般利润率,x被定义为1 /(1+p),马克思意义上商品1的“成本价格”(米尔普福特把它命名为公司1的“资本价格”)由x0x1a1给出。 对n个生产不同商品的企业来说,a11,a12,...a1n是为了生产一单位商品1使用的商品1,2....n的数量;a21, a22...a2n代表公司2每单位产出使用商品1,2....n的数量,等等。用现代术语来说,它们就是每个产业的里昂惕夫投入系数。米尔普福特明确地表明,它们是由“各个公司的技术”决定的。然后,他写下了下列等式: 0 ![]() 在上面的式子中,左边给出了每单位不同商品的成本价格,右边是生产它所需的不同商品单位投入的价格总和(用1/x0=1+p分别与两边相乘,将会得到一个更为人熟知的表达式,即生产价格和所有投入品的价格总和相等,投入品的价格是用(1+p)作为乘数得到的)。米尔普福特在一定程度上和马克思一样,忽视了不变资本和可变资本的区别,把工人消费的商品看作是和原材料与机器一样的物质投入。这是一个在有关转形问题的现代数学讨论中经常出现的情况,而且很容易被改进为一个更加正统的马克思的表述式。 米尔普福特得到了n个等式,但是却有n+1个未知数(n个价格—价值比率x1......xn和用x0表示的利润率),在这一点上他泄气了。他可以做的是,要么使所有商品的价值总和等于价格总和,要么使总剩余价值等于总利润,得到第n+1个等式。在这两种情况下,他都需要指定第n种商品的产出数量。他未能这样做,而且混淆了马克思的两个不变条件,把 ∑a=∑л( ∑л代表生产价格总和)写为: ![]() 这真是不伦不类。左边代表了物化在每单位不同商品中剩余劳动的数量,右边代表的是与每单位产出相对应的利润。等式(3.2)更加近似于第二个不 变条件(总剩余价值等于总利润)而不是第一个不变条件。54正因为如此,米尔普福特才不得不用产出的数量去乘以每单位产出的剩余价值和利润。如果用X1, X2...Xn表示商品1,2....n的产出数量,我们可以把: (a1-a11a1-...-a1nan)X1+...+(an-an1a1-annan)Xn=(a1x1-a11a1x1+...)X1+...+(anxn-a1nanxn-...)Xn (3-3) ![]() 当作(真正的)总剩余价值等于总利润的条件。 即使是这样,米尔普福特的代数方法也是失败的,但是他的贡献不仅独具匠心,而且富有成效,这一点是不可否认的。米尔普福特认为自己是在推动古典价值理论和奥地利学派边际效用分析的综合,前者解释了“自然”(即长期均衡)价格,后者用心理规律说明了稀缺性对短期价格决定的影响。虽然存在一定的局限性,但奥地利学派的理论仍然是现有的最佳理论。“从另一方面看,奥地利学派的错误在于试图把他们的解释方法,应用于自由竞争条件下可自由再生产的商品的自然价格。我的观点是,在古典学派和奥地利学派之间不存在不可调和的矛盾,这两个体系可以以一种我已经解释了的方式统一在一起”。他带着一种审慎的希望(至少在他有生之年,这成了令人遗憾的失望)推论说,“专业人士”将确证或否定他的分析方法的有效性。“尤其是,我希望看到公认的马克思的解释者,比如伯恩施坦、恩格斯、考斯基等,以客观的形式表达的观点”。但这种情况并没有发生。 与此同时,一个不怎么知名的斯摩棱斯克的海关官员,开始以一种新奇的方式着手处理这个问题。V. K. 德米特里耶夫(1868-1913)是当时最重要的俄罗斯数理经济学家。 追随着同胞彼得·司徒卢威和杜冈-巴拉诺夫斯基(参见以下第九章和第十章)的足迹,德米特里耶夫希望能够综合古典与新古典主义的价值理论。虽然从来没有提到马克思,而且他著作中的大部分内容应归功于瓦尔拉斯而不是李嘉图,但德米特里耶夫提供了一个分析框架,这个框架对后来的劳动价值论和转形问题研究具有巨大的价值。他关于这一主题的第一篇论文,发表于1898年,但显然是之前几年就完成了,论文认为劳动价值的计算可直接从物质投入和产出的技术数据(马克思经常用其它的价值——c, v和s——表达价值,从来没有明确地考虑过这个问题)得出。对于商品A,NA表示它的价值(即生产它需的直接或间接劳动投入的总和);1/mi是生产商品A耗费的第i种商品的数量,或者,如果第i种商品是机器的话,它表示年折旧系数;nA是生产A的直接劳动投入,德米特里耶夫得到: NA=nA+1/m1.N1+...+mM.NM (3.4) 在这里,劳动价值由直接劳动(nA)和间接劳动(1/m1. N1+...)的总和决定。 德米特里耶夫也思考了生产价格的决定问题。然而,他的方法是李嘉图式的而不是马克思式的。他使用“过去劳动”模型取代了不变和可变资本之间的区分。在这种模型里,不再把商品看作是由直接劳动和生产资料的结合生产出来的,生产技术被“简化”为由它们作出贡献的时期加以区分的一系列劳动投入。棉纱被认为是纺纱工的劳动(当年耗费的)、棉花种植者的劳动(去年耗费的)和必要的机器制忽略掉机器,并假定棉花是由独造者的劳动(追溯到两年或两年以上)的产物。立的劳动种植的,可以得到原棉和棉纱的“过去劳动”价格方程:
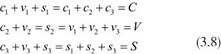
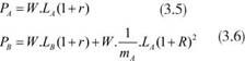
![]() 〔注:图中公式3.6最后一个R应为小写r。——中文马克思主义文库〕 PA,PB是棉花和棉纱的价格,LA,LB是种棉花和纺纱活动中每单位产出使用的劳动的数量;1/mA(再一次)是生产一单位棉纱要求的棉花投入的数量;r是(1/mA).LA年利润率。LA,LB和表示“过去劳动”,每个都被(1+r)的乘方加权,乘方的大小由劳动被“锁定”在生产中的周期的长短决定。48长期均衡价格,定义为资本家过去的所有工资开支,加上包含所有相关时期,以当前的平均利润率为折算系数计算出的复利形式的利润的总和。简单地说,假定工人只消费谷物,给定时期资本家的支出为nAaPA,a是每个时期工人消费的谷物的数量,PA是谷物的价格,nA——和前面相同——代表所需的(这次是在时期A)直接劳动投入。对商品A(谷物)来说,自然价格(生产价格)被定义为: ![]() PA=nAaPA(1+r)t41+...+nMaΡA(1+r)1AΜ (3.7) r为平均利润率,在得到最终产品之前,劳动投入nA....nM存在的生产周期为tA1....tAM。给定真实工资a,一旦定义了价格计量单位,便可由方程(3.7)所代表的方程组解出用技术系数nA....nM与tA1....tAM表示的生产价格PA...PM和r。甚至超越了米尔普福特,德米特里耶夫在19世纪的最后十年,已经预见到了20世纪中叶出现的数理经济学。 5.冯·博特凯维茨的解决方法上述这一切,都没有给西方的社会主义者留下什么印象,也没有对俄国的正统马克思主义者产生什么影响。然而,德米特里耶夫的著作被有着俄罗斯血统的柏林统计学家拉迪斯劳斯·冯·博特凯维茨注意到了。博特凯维茨是一个对马克思有着强烈兴趣的李嘉图主义者,1907年他发表了两篇研究转形问题的重要文章,虽然这些文章在当时很大程度上被忽视了,但对后来的研究却产生了重要的影响。在第一篇文章中,博特凯维茨把德米特里耶夫“出色的工作”应用于马克思的转形问题,认为德米特里耶夫的作品“证明了一种杰出的理论才能,真正提出了一些新颖的东西”。51 55博特凯维茨和德米特里耶夫的分析存在着惊人的相似性。“正如马克思那样,德米特里耶夫的模型,把商品生产的技术条件,包括表现为给定的实际工资的劳动力商品生产的技术条件,作为价格最终的和唯一的决定因素”。52 55博特凯维茨用由方程(3.4)到(3.7)构成的德米特里耶夫的代数框架,得出了马克思的剥削率和利润率函数(用“过去劳动”数量表示)。他还说明,在作为货币的商品的有机构成、劳动力价值和相关产业的生产价格之间存在精确的关系。 然而,马克思和德米特里耶夫之间也存在着重要的区别。博特凯维茨注意到,后者拒绝了马克思在不变资本和可变资本之间所做的区分,并用代数表达式取代了数字例子。这种区别,比它们表面上看起来要重要的多,因为它意味着一种重大的方法论上的突破:德米特里耶夫使用同时决定的方式进行论证,而马克思使用因果链条进行推理,博特凯维茨批评这种推理是一种“连续近似”的谬误。德米特里耶夫证明了马克思对李嘉图的批判是无效的,李嘉图没有混淆价格和价值,也不需要马克思对不变资本和可变资本进行的区分,李嘉图的主张(被马克思否定的),利润率不受某些产业生产条件变化的影响,这些产业既不生产工资商品也不生产用于(直接或间接的)工资商品产业的生产资料,这是正确的。博特凯维茨在结论中,对马克思进行了严厉的批判。“毕竟价值计算和价格计算之间有着密切的数学联系,马克思在这个问题上的分析缺陷,反映了他数学能力的缺乏”。马克思认为与价格决定相比,价值决定具有逻辑上的优先性是错误的:“不仅价格、工资和利润率之间的相互关系,可以简化为无需从价值和剩余价值的数量开始的数学表达式,而且如果使用正确的公式表达的话,价值和剩余价值的数量甚至可以不出现在计算中”。 博特凯维茨似乎对马克思有些着迷,他的第二篇文章更为直接地分析了《资本论》第三卷中的转形问题。从概念层次看,这篇文章不如第一篇成熟,用三部类模型取代了存在n种商品的模型(另外,对三个部类而言,生产不变资本的产业的资本有机构成是相同的)。第Ⅰ部类生产生产资料,第Ⅱ部类的产出由工资商品构成,第Ⅲ部类生产资本家消费的奢侈品。博特凯维茨进一步抽象掉固定资本,所有的资本每年周转一次,并假定简单再生产居于支配地位。这使得:
![]() 〔注:图中公式3.8第二行第一个 = 应为 +。英文版即有此误——中文马克思主义文库〕 在这里,不变资本的产出完全等于各个产业使用的不变资本;工资商品的产出正好足以养活三个部类中的雇佣工人,奢侈品的产出正好等于生产的剩余价值的总量。同米尔普福特一样,博特凯维茨用p表示平均利润率。另外,x, y和z分别表示三个部类中生产价格和价值的比率;这和米尔普福特的x1....xn相对应。马克思的转形问题解决方法要求:
等式(3.9)是米尔普福特的等式(3.1)在三部门模型中的对等物。等式左边代表(用价格术语)每个部类的成本价格,乘以(1+p)表明生产价格必须包含成本和利润。右边表示用生产价格而不是用劳动价值标示的每一类商品的产出。资本家必须从出售他们的商品中获得足够多的收入(等式的右边)去补偿他们的支出和平均利润率为p时可获得的利润(等式左边)。 博特凯维茨有了(3.9)所表示的三个等式,但却有四个未知数:x, y, z和p。他注意到,那个缺失的等式可以通过引入马克思两个“不变条件”中的任何一个得到(但不是同时引入两个)。总价值和总价格的相等使得: Cx+Vy+Sz=C+V+S (3.10) C, V和S是总量指标,使总剩余价值等于总利润等同于指定z=1 (3.11) 等式(3.10)和(3.11)表达了马克思的两个不变条件。如同博特凯维茨在几个数字例子中表明的那样,一般情况下,两个条件不可能同时成立。比如,在一个第Ⅲ部类的资本有机构成低于社会平均构成的模型中采用等式(3.11),将使得价格总和超过价值总和,反之亦然。马克思假定是错误的。只有那些生产工资商品的产业(直接的或间接的)——事实上,即第Ⅰ部类和第Ⅱ部类,但不包括第Ⅲ部类——决定了利润率。在这一点上李嘉图是正确的,错误的是马克思。57但是,博特凯维茨提醒道,这种结论不能被推广的太远。这并不意味着部类Ⅲ的资本有机构成可以无限的大,因为如果它的确很大,那么利润率的均等化将不再可能。58 55马克思的分析存在问题,但他的本意是正确的。博特凯维茨的著作没有产生明显的直接影响。1949年,他的著作的英文翻译者保罗·斯威齐认为,“有证据表明,它只被少数几个专家阅读过”。59 55斯威齐没有对这些专家的身份进行说明,就我们所知,1942年出版的斯威齐的《资本主义发展论》,对博特凯维茨的第二篇文章进行了概括,并引发了对转形问题重要的(和持续的)争论,在此之前,对转形问题进行的认真分析仅有两次。60 55没有任何一个第二国际的著名理论家关注过这个问题。35年的空白期,折射出这一时期马克思主义政治经济学科研水平的不足。在这一段暂歇期,对价值理论进行的哲学思考出现了一些重大的进展,61 55但有关这个问题的技术分析没有取得什么明显发展。直到线性经济学工具在冯·诺依曼和里昂惕夫的著作(20世纪30年代和40年代)中出现后,对价值问题“数量方面”的讨论才重新开始 第三章注释: 1、 马克思:《资本论》第三卷第8章,《马克思恩格斯文集》第7卷,人民出版社2009年版,第159-172页。 2、 马克思:《资本论》第三卷第9章,《马克思恩格斯文集》第7卷,人民出版社2009年版,第178页。 3、 引自《资本论》第三卷,《马克思恩格斯文集》第7卷,人民出版社2009年版,第174-176页。 4、 F. Seton, ' The " Transformation Problem" ', Review of Economic Studies 24, 1957, pp. 154-5. 5、 马克思:《资本论》第三卷第9章,《马克思恩格斯文集》第7卷,人民出版社2009年版,第176-177页。 6、 马克思:《资本论》第三卷第10章,《马克思恩格斯文集》第7卷,人民出版社2009年版,第197-198页。 7、 马克思:《资本论》第三卷第10章,《马克思恩格斯文集》第7卷,人民出版社2009年版,第201页,第218-219页。cf. R. L. Meek, Studies in the Labour Theory Value (London: Lawrence & Wishart, 1973) 2nd edn, pp. xvi-xliv. 8、 马克思:《资本论》第三卷第9章,《马克思恩格斯文集》第7卷,人民出版社2009年版,第184-185页。 9、 W. Sombart, ' Zur Kritik des Ökonomischen System von Karl Marx', Archiv für Socialgesetzgebung und Statistik, 7, 1894, pp. 584-6. 10、 W. Lexis, ' The Concluding Volume of Marx' s Capital', Quarterly Journalj Economics, 10, 1895, pp. 11-13. 11、 C. Schmidt to F. Engels, 1 March 1895; original stress (International Institug of Social History, Amsterdam:L5588). 12、 《恩格斯致桑巴特(1895年3月11日)》,《马克思恩格斯文集》第10卷,人民出版社2009年版,第691-692页。着重号为原文所加。 13、 《恩格斯致施米特(1895年3月12日)》,《马克思恩格斯文集》第10卷,人民出版社2009年版,第692、694、693页。 14、 《资本论》第三卷恩格斯的增补第一部分,《马克思恩格斯文集》第7卷,人民出版社2009年版,第1005-1027页。 15、 《马克思恩格斯文集》第7卷,人民出版社2009年版,第1013页。 16、 马克思恩格斯文集》第7卷,人民出版社2009年版,第1016-1019页。 17、 《马克思恩格斯文集》第7卷,人民出版社2009年版,第1019页。 18、 《马克思恩格斯文集》第7卷,人民出版社2009年版,第1027页。 19、 M. Morishima and G. Catephores, ' Is there an " Historical Transformatio Problem"?' Economic Journal 85, 1975, pp. 309-28; R.L.Meek, ' Is there an“Historical Transformation Problem"? A Comment', Economic Journal, 1976, pp. 342-7; Morishima and Catephores, ' The " Historical Transformatig Problem": a Reply', Economic Journal, 86, pp. 348-52. 20、 《资本论》第三卷恩格斯的增补第一部分,《马克思恩格斯文集》第7卷,人民出版社2009年版,第1021-1027页。 21、 P. M. Sweezy, ' Editor' s Introduction' to Sweezy (ed.) Karl Marx and the Close of His System (New York: Kelley, 1966, first published 1949) pp. vii-xiv. 22、 E. von Böhm-Bawerk, Kapital und Kapitalzins (Innsbruck: Verlag der Wagner' schen Universitäts Buchhandlung, 1884) pp. 418-47 23、 Ibid, pp. 434-6. 24、 Ibid, pp. 439. 25、 Ibid, p. 445 26、 E. von Böhm-Bawerk, ' Karl Marx and the Close of His System', in Sweezy(ed.) Karl Marx and the Close of His System, p. 30 27、 Ibid, pp. 34-40, 51-63. 28、 Ibid, pp. 40-51, 104, 118. 29、 R. Hilferding, ' Böhm-Bawerk' s Criticism of Marx', in Sweezy (ed.) Karl Maand the Close of Ins System, pp. 121-96; Sweezy, ' Editor' s Introduction',Sweezy(ed.) Karl Marx and the Close of his System, p. xix. 30、 Hilferding, ' Böhm-Bawerk' s Criticism', pp. 132-4. 31、 Ibid, pp. 187, 196. 32、 N.I. Bukharin, The Economic Theory of the Leisure Class (New York: Monthly Review Press, 1972). 33、 Hilferding, ' Böhm-Bawerk' s Criticism', p. 135. 34、 Ibid. pp. 166-8. 35、 Ibid, pp. 169-70. 36、 Sweezy, (ed.) Karl Marx and the Close of his System, p. xxi. n.1. 37、 Hilferding, ' Böhm-Bawerk' s Criticism', p. 159 38、 Ibid, pp. 160-1. 39、 Dr Mühlpfort, ' Karl Marx und die Durchschnittsprofitrate', Jahrbücher für Nationalökonomie, 65, 1895, pp. 92-9; Mühlpfort, Preis und Einkommen in der Privatkapitalistischen Gesellschaft (Königsberg: Hartungsche Buchdruckerei,1893). 40、 Compare Mühlpfort, Preis und Einkommen, pp.42-5 with W. Mühlpfort, Die Handwerkerfrage und das Neue Handwerksgesetz (Königsberg: Verlag von Wilhelm Koch, 1899) pp. 7-8, 42-6. His complaint about the review in Die Neue Zeit is in ' Karl Marx', p. 98, n.l. 41、 即(1(1+p))(价格值()=()成本-(=价格/价)值)(价值)1= 1(+1p(1+p))(价格值()=()成本-=(价格)) = 成本-价1格 1,+因p为(价格) = 成本-价格(1+ p) 。 42、 L. L. Pasinetti, Lectures on the Theory of Production (London: Macmillan.1977). 43、 Mühlpfort, ' Karl Marx', p. 98. 44、 在他的论文中,米尔普福特写出下式:(3.2a) a1 X1+a2 X2+...+an Xn=a1+a2+...an。即马克思把总价格等于总劳动价值的第一个不变条件,它优先于上述(3.2)(Preis und Einkommen, p. 26) 45、 Mühlpfort, ' Karl Marx', pp. 98-9. 46、 D. M. Nuti, ' V. K. Dmitriev: a Biographical Note' in Nuti (ed.) V. K. Dmitriev:Economic Essays on Value, Competition and Utility (Cambridge: Cambridge University Press, 1974) pp. 29-32. 47、 这也是奥地利学派经济学家的观点。后来,斯拉法证明当存在联合生产时,“化约为过去的劳动”将遇到困难;see M.C.Howard, ' Austrian Capital Theory: An Evaluation in Terms of Piero Sraffa' s " Production of Commodities by Means of Commodities, Metroeconomica,32, 1980,pp.1-23. 48、 V. K. Dmitriev, ' First Essay: the Theory of Value of David Ricardo', in Nuti, ' V. K. Dmitriev', pp.39-45; cf. Nuti, ' Introduction', in ' V. K. Dmitriev', pp.7-12; and P.Sraffa, The Production of Commodities By Means of Commodities(Cambridge: Cambridge University Press, 1960) pp. 34-40, 56-9, 67-8. 49、 Dmitriev, ' First Essay',pp.45-80; Nuti, ' V. K. Dmitriev',pp.12-18.注意为了避免与方程(3.3)相混淆,德米特里耶夫的XA等被PA等所替代,另外,他的nA...nM应当被写为nA1...nAM,第一个下标代表第a种商品(谷物),第二个下标指明相关的生产时期。 50、 L. von Bortkiewicz, ' Value and Price in the Marxian System', International Economic Papers, 2, 1952, pp. 5-60; von Bortkiewicz, ' On the Correction of Marx' s Fundamental Theoretical Construction in the Third Volume of Capital', in Sweezy (ed.) Karl Marx and the Close of his System, pp. 197-221. On von Bortkiewicz see J.A.Schumpeter, ' Ladislaus von Bortkiewicz, 1868-1931’,Economic Journal, 42,1932,pp.338-40, and W.S.Woytinsky, Stormy Passage(New York: Vanguard Press,1961)pp.452-4. 51、 Bortkiewicz, ' Value and Price', p. 20, n.31. 52、 Ibid, p. 22;正如正文中解释的那样,这是对马克思的过度简化。 53、 Ibid. pp. 5-27. 54、 Ibid, pp. 27-53 55、 Ibid, pp. 56, 54. 56、 Bortkiewicz, ' Correction', pp. 204-6. 57、 Ibid, pp. 214-15. 58、 Ibid, pp. 214-15. 59、Sweezy (ed.) Karl Marx and the Close of his System, p.v. 60、 K.Shibata, ' On the General Profit Rate', Kyoto University Economic January 1939, pp. 40-66; O. Kuhne, Untersuchungen Über die Wert-und Preisrechnung des Marx' schen Systems (Greifswald: L. Bamberg, 1922: Greifswalder Staatswissenschaftliche Abhandlungen, no.14); P.M. Sweezy, Theory of Capitalist Development (New York: Monthly Review Press, 1970; first published 1942) pp. 112-25. 61、 F. Petry, Der Soziale Gehalt der Marxschen Werttheorie (Jena: Fischer, 1916); I.I.Rubin, Essays on Marx' s Theory of Value (Montreal: Black Rose Books, 1973; first published 1928). 62、 参见M. C. Howard and J. E. King, A History of Marxian Economics, vol.11,1929-88 (London: Macmillan, forthcoming). |