Marxistický internetový archiv - Česká sekce

Karel Marx
Kapitál, III. díl

Kapitola čtvrtá

Vliv obratu na míru zisku

{Vliv obratu na výrobu nadhodnoty, a tedy i zisku, byl probrán v druhé knize. Dá se stručně shrnout takto: protože k obratu je třeba určité doby, nemůže se k výrobě použít současně celého kapitálu; část kapitálu tedy musí neustále ležet ladem — ať už ve formě peněžního kapitálu, zásob surovin, hotového, ale ještě neprodaného zbožního kapitálu, anbo v pohledávkách, které ještě nejsou splatné; kapitál činný v aktivní výrobě, tj. při tvorbě a přivlastňování nadhodnoty, se o tuto část neustále zmenšuje, a úměrně tomu se neustále zmenšuje i vyráběná a přivlastňovaná nadhodnota. Čím kratší je doba obratu, tím menší je tato ladem ležící část kapitálu ve srovnání s celkovým kapitálem a tím větší je tedy za jinak stejných okolností i přivlastňovaná nadhodnota.

Již v druhé knize bylo podrobně vyloženo, jak zkracování doby obratu nebo některého z jejích dvou úseků, výrobní doby a doby oběhu, zvyšuje masu vyrobené nadhodnoty. A protože míra zisku je jen výrazem poměru vyrobené masy nadhodnoty k celému kapitálu zaměstnanému při její výrobě, je zřejmé, že každé takové zkrácení míru zisku zvyšuje. To, co bylo dříve, v druhém oddílu druhé knihy, řečeno o nadhodnotě, platí právě tak o zisku a míře zisku, a není to zde třeba opakovat. Rádi bychom zdůraznili jen několik hlavních momentů.

Hlavním prostředkem ke zkracování výrobní doby je zvyšování produktivity práce; tomu se obvykle říká pokrok průmyslu. Nevyvolá-li se tím zároveň značné zvýšení celkového výdaje kapitálu, vyplývající ze zavádění nákladných strojů atd., a tím snížení míry zisku, která se vypočítává z celkového kapitálu, musí míra zisku stoupnout. A tak tomu rozhodně je u mnoha nejnovějších úspěchů, jichž bylo dosaženo v hutním a chemickém průmyslu. Nové způsoby výroby železa a oceli, které objevili Bessemer, Siemens, Gilchrist-Thomas a j., zkracují při poměrně nepatrných nákladech dříve velmi zdlouhavé procesy na nejmenší míru. Výroba alizarinu čili mořenového barviva z kamenouhelného dehtu dává — použije-li se továrního zařízení, kterého se již používalo k výrobě barev z dehtu — za několik týdnů týž výsledek, k němuž bylo dříve třeba let. Trvalo rok, než mořena barvířská vzrostla, potom bylo nutno nechat ještě několik let dozrávat kořeny a pak teprve bylo možno dělat z nich barvu.

Hlavním prostředkem ke zkracování doby oběhu je zdokonalování komunikací. A po této stránce došlo za posledních padesát let k revoluci, která se dá srovnat jen s průmyslovou revolucí z druhé poloviny minulého století. Na souši zatlačila železnice do pozadí makadamisovanou silnici, na moři vytlačila rychlá a pravidelná paroplavba pomalou a nepravidelnou dopravu plachetnicemi, a celá zeměkoule byla obetkána sítí telegrafních drátů. A Suezský průplav otevřel paroplavební dopravě Východní Asii a Australii. Doba oběhu zboží zasílaného do Východní Asie, která ještě roku 1847 činila nejméně dvanáct měsíců (viz knihu II, str. 235 [K. Marx: „Kapitál“, díl II, zde]), dá se nyní zkrátit na přibližně stejný počet týdnů. Obě veliká ohniska krisí z let 1825—1857, Amerika a Indie, se tímto převratem v dopravních prostředcích přiblížila o 70—90% evropským průmyslovým zemím a ztratila tak značně na své výbušnosti. Doba obratu veškerého světového obchodu se úměrně tomu zkrátila a akční schopnost kapitálu, který se ho účastní, se více než zdvojnásobila nebo ztrojnásobila. Že to nezůstalo bez vlivu na míru zisku, je samozřejmé.

Máme-li si ukázat vliv obratu celkového kapitálu na míru zisku v ryzí podobě, musíme předpokládat, že u obou kapitálů, které srovnáváme, jsou všechny ostatní okolnosti stejné. Mimo míru nadhodnoty a pracovní den nechť je tedy stejné i procentní složení kapitálů. Vezměme nyní kapitál A se složením 80c + 20v = 100 K, který se při míře nadhodnoty 100%, obrátí dvakrát za rok. Pak je roční výrobek:

160c + 40v + 40m. Chceme-li však zjistit míru zisku, neuvádíme těchto 40m do poměru k obrátivší se kapitálové hodnotě 200, nýbrž k zálohované kapitálové hodnotě 100, a tak dostaneme z‘ = 40%.

Srovnejme s tím kapitál B = 160c + 40v = 200 K, který má stejnou míru nadhodnoty 100%, ale obrátí se jen jednou za rok. Pak bude roční výrobek stejný jako dříve:

l60c + 40v + 40m. Tentokrát se však musí těchto 40m uvést do poměru k zálohovanému kapitálu 200, takže vyjde míra zisku jen 20%, tj. jen polovina míry A. Z toho tedy plyne: u kapitálů stejného procentního složení jsou při stejné míře nadhodnoty a stejném pracovním dni míry zisku dvou kapitálů nepřímo úměrné dobám jejich obratu. Není-li v obou srovnávaných případech stejné buď složení, nebo míra nadhodnoty, nebo pracovní den, nebo mzda, vyplývají z toho ovšem další rozdíly v míře zisku; ty však nejsou závislé na obratu, a proto nás tu nezajímají; mimo to již byly prozkoumány v kapitole III.

Přímý vliv, který má zkrácení doby obratu na výrobu nadhodnoty, tedy i zisku, záleží ve zvýšené aktivitě, které tím nabývá variabilní část kapitálu; o tom viz knihu II, kap. XVI: „Obrat variabilního kapitálu“. Tam se ukázalo, že variabilní kapitál 500, který se obrátí desetkrát za rok, vynese za tuto dobu stejně nadhodnoty jako variabilní kapitál 5000, který se při stejné míře nadhodnoty a stejné mzdě obrátí jen jednou za rok.

Vezměme kapitál I, skládající se z 10.000 fixního kapitálu, jehož roční opotřebování činí 10% = 1000, z 500 konstantního oběžného a z 500 variabilního kapitálu. Nechť variabilní kapitál vykoná při míře nadhodnoty 100% deset obratů za rok. Pro zjednodušení předpokládejme ve všech následujících příkladech, že se oběžný konstantní kapitál obrací za stejnou dobu jako variabilní, jak tomu ostatně většinou bývá i v praxi. Pak produkt takového období obratu bude:

l00c (opotřebování) + 500c + 500v + 500m = 1600,

a celkový roční produkt při deseti takových obratech:

l000c (opotřebování) + 5000c + 5000v + 5000m = 16.000,

K = 11.000, m = 5000, z' = 5000/11.000 = 455/11%.

Vezměme nyní kapitál II: fixní kapitál 9000, jeho roční opotřebování 1000, oběžný konstantní kapitál 1000, variabilní kapitál 1000, míra nadhodnoty 100%, počet ročních obratů variabilního kapitálu = 5. Produkt každého období obratu variabilního kapitálutedy bude:

200c (opotřebování) + 1000c + 1000v + 1000m = 3200,

a celkový roční produkt při pěti obratech:

l000c (opotřebování) + 5000c + 5000v + 5000m = 16.000,

K = 11.000, m = 5000, z' = 5000/11.000 = 455/11%.

Vezměme dále kapitál III, v němž není vůbec žádný fixní kapitál, naproti tomu 6000 oběžného konstantního a 5000 variabilního kapitálu. Při 100% míře nadhodnoty nechť se obrátí jednou za rok. Celkový roční produkt pak bude:

6000c + 5000v + 5000m = 16.000,

K = 11.000, m = 5000, z' = 5000/11.000 = 455/11%.

Dostaneme tedy ve všech třech případech stejnou roční masu nadhodnoty = 5000, a protože je celkový kapitál ve všech třech případech rovněž stejný, totiž = 11.000, dostaneme i stejnou míru zisku 455/11%.

Kdybychom naproti tomu měli u hořejšího kapitálu I místo 10 jen 5 ročních obratů variabilní části, vypadalo by to jinak. Produkt jednoho obratu by pak byl:

200c (opotřebování) + 500c + 500v + 500m = 1700.

Čili roční produkt:

l000c (opotřebování) + 2500c + 2500v + 2500m = 8500,

K = 11.000, m = 2500, z' = 2500/11.000 = 228/11%.

Míra zisku klesla na polovinu, protože se doba obratu zdvojnásobila.

Masa nadhodnoty přivlastněná za rok se tedy rovná mase nadhodnoty přivlastněné za jedno období obratu variabilního kapitálu násobené počtem těchto obratů za rok. Nazveme-li ročně přivlastněnou nadhodnotu čili zisk M, nadhodnotu přivlastněnou za jedno období obratu m, počet obratů, které variabilní kapitál vykoná za rok, n, pak M = mn, a roční míra nadhodnoty M‘ = m‘n, jak již bylo vyloženo v knize II, kap. XVI, 1.

Vzorec míry zisku z‘ = m‘v/K = m‘v/(c + v) je ovšem správný jen tehdy, rovná-li se v v čitateli v ve jmenovateli. v ve jmenovateli představuje celou část celkového kapitálu, jíž bylo průměrně použito jako variabilního kapitálu, na mzdu. v v čitateli je určeno především tím, že vyrobilo a přivlastnilo určitou masu nadhodnoty = m, jejíž poměr k němu, m/v‚ je míra nadhodnoty m‘. Jen takto se rovnice z' = m/(c + v) přeměnila v jinou rovnici: z' = m'v/(c + v). v v čitateli je pak blíže určeno tím, že se musí rovnat v ve jmenovateli, tj. celé variabilní části kapitálu K. Jinak řečeno, rovnice z‘ = m/K se dá přeměnit v rovnici z' = m'v/(c + v)‚ aniž se přitom dopustíme chyby, jen tehdy, označuje-li m nadhodnotu vyrobenou v jednom období obratu variabilního kapitálu. Představuje-li m jen část této nadhodnoty, je m = m‘v sice správné, ale toto v je zde menší než v v K = c + v, protože je menší než celý variabilní kapitál vynaložený na mzdu. Představuje-li však m více než nadhodnotu jednoho obratu v, funguje část tohoto v, nebo i celé v, dvakrát: nejdříve v prvním, pak v druhém, resp. v druhém a dalším obratu; toto v, které vyrábí nadhodnotu a které představuje úhrn všech vyplacených mezd, je tedy větší než v v c + v, a proto je pak výpočet nespravny.

Má-li být vzorec roční míry zisku naprosto správný, musíme místo prosté míry nadhodnoty dosadit roční míru nadhodnoty, tj. místo m‘ dosadit M‘ čili m‘n. Jinak řečeno m‘, míru nadhodnoty — nebo, což je konec konců totéž, v, variabilní část kapitálu obsaženou v K — musíme násobit n, počtem obratů tohoto variabilního kapitálu za rok, a tak dostaneme z‘ = m‘nv/K — vzorec pro výpočet roční míry zisku.

Ale jak velký je variabilní kapitál v určitém podniku, neví ve většině pripadů ani sám kapitalista. V osmé kapitole druhé knihy jsme viděli a dále ještě uvidíme, že jediný rozdíl v kapitálu, který se kapitalistovi vtírá jako podstatný, je rozdíl mezi fixním a oběžným kapitálem; z pokladny, v níž leží část oběžného kapitálu, kterou má v peněžní formě, pokud ji neuložil v bance, bere peníze na mzdu, z téže pokladny vybírá i peníze na suroviny a pomocné látky a obojí peníze zapisuje na totéž pokladní konto. A i kdyby vedl o vyplacených mzdách zvláštní konto, vykazovalo by sice na konci roku sumu, kterou na ně vyplatil, tj. v n, ale ne variabilní kapitál v sám. Aby jej zjistil, musel by provést zvláštní výpočet, jehož příklad zde uvedeme. Vezměme si k tomu za příklad přádelnu bavlny o 10.000 selfaktorových vřetenech, popsanou v knize I, str. 180—181 [K. Marx: „Kapitál“, díl I, zde], a předpokládejme, že údaje uvedené pro týden v dubnu 1871 platí pro celý rok. Fixní kapitál ve strojích činil 10.000 liber št. Oběžný kapitál nebyl uveden; předpokládejme, že byl 2500 liber št., což je cifra poněkud vysoká, ale je odůvodněna předpokladem, s nímž tu musíme vždy počítat, že totiž nedochází k úvěrovým operacím, že se tedy nepoužívá ani trvale, ani přechodně cizího kapitálu. Týdenní výrobek se co do hodnoty skládal z 20 liber št. za opotřebování strojů, z 358 liber št. zálohovaného oběžného konstantního kapitálu (nájemné 6 liber št., bavlna 342 liber št., uhlí, plyn, olej 10 liber št.), z 52 liber št. variabilního kapitálu vydaného na mzdu a z 80 liber št. nadhodnoty, tedy:

20c (opotřebování) + 358c + 52v + 80m = 510.

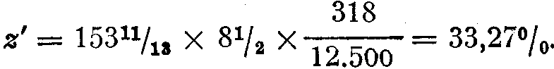
Týdně se tedy zálohovalo v oběžném kapitálu 358c + 52v = 410, a jeho procentní složení = 87,3c + 12,7v. Vypočítáme-li to pro celý oběžný kapitál 2500 liber št., vyjde 2182 liber št. konstantního a 318 liber št. variabilního kapitálu. Protože na mzdu bylo za rok celkem vynaloženo 52krát 52 liber št., tedy 2704 liber št., vyplývá z toho, že variabilní kapitál 318 liber št. se za rok obrátil téměř přesně 81/2krát. Míra nadhodnoty byla 80/52 = 15311/13%. Z těchto daných veličin vypočítáme míru zisku tím, že do vzorce z' = m‘nv/K dosadíme hodnoty: m‘ = 15311/13, n = 81/2, v = 318, K = 12.500; tedy:

z'=153,85x8,5x0,03=33,27%

Použitím jednoduchého vzorce z' = m/K provedeme zkoušku. Celková nadhodnota čili zisk za rok činí 80 liber št. x 52 = 4160 liber št. a to, děleno celkovým kapitálem 12.500 liber št., dává téměř tolik jako nahoře, 33,28%, abnormálně vysokou míru zisku, kterou lze vysvětlit jen neobyčejně příznivými podmínkami v dané chvíli (velmi nízké ceny bavlny při velmi vysokých cenách příze) a která se jistě ve skutečnosti po celý rok neudržela.

Ve vzorci z‘ = m‘nv/K je m‘n, jak bylo řečeno, tím, co jsme v druhé knize nazvali roční mírou nadhodnoty. V uvedeném případě činí 15311/13% x 81/2, čili počítáno přesně, 13079/13%. Spráskl-li tedy jistý poctivec [Biedermann][*] ruce nad obludnými rozměry roční míry nadhodnoty 1000%, uvedené v jednom příkladu v druhé knize, upokojí se snad, až tu uvidí, že se vyskytuje i roční míra nadhodnoty přes 1300%, kterou tu pro něho uvádíme ze skutečné praxe v Manchesteru. V dobách nejvyšší prosperity, jakou jsme ovšem už dlouho nezažili, není taková míra nic vzácného.

Máme tu mimochodem příklad skutečného složení kapitálu v moderním velkém průmyslu. Celkový kapitál se dělí na 12.182 libry št. konstantního a 318 liber št. variabilního kapitálu, dohromady 12.500 liber št. Čili v procentech: 971/2c + 21/2v = 100 K. K úhradě mezd slouží jen čtyřicetina celkového kapitálu, ale slouží tak více než osmkrát za rok.

Ovšem jen málokterého kapitalistu napadne, aby vedl takovéto výpočty o svém podniku, a proto statistiky téměř nic neříkají o poměru konstantní části celkového společenského kapitálu k variabilní části. Jen americký census udává to, co je za dnešních poměrů možné: úhrn mezd vyplacených v každém odvětví podnikání a úhrn dosažených zisků. Třebaže tyto údaje nejsou spolehlivé — opírají se totiž jen o nekontrolovatelné údaje průmyslníků — jsou přesto velmi cenné a jsou jediné, co o tomto předmětu máme. My v Evropě jsme příliš delikátní, než abychom očekávali, ze naši velkoprůmyslníci na sebe něco takového povědí. — B. E}

__________________________________

Poznámky:

* Slovní hříčka: Biedermann poctivec, dobrák; zároveň se tak jmenoval redaktor „Deutsche Allgemeine Zeitung“. (Pozn. red. čes. vydání)